电脑桌面
添加小米粒文库到电脑桌面
安装后可以在桌面快捷访问

中科院高等代数解答VIP免费

中科院高等代数解答_第1页
1/6
中科院高等代数解答_第2页
2/6
中科院高等代数解答_第3页
3/6
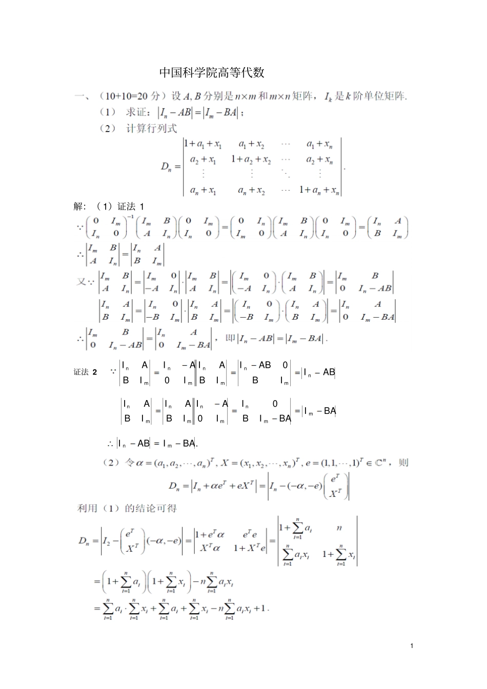
1中国科学院高等代数解:(1)证法1证法2ABIIBABIIBAIIAIIBAInmnmnmnmn00BAIBAIBIIAIIBAIIBAImmnmnmnmn00.BAIABImn2证明:因为A为正交矩阵,故其特征值的模长为1.由于1A,故可设,于是3法14法2因为1)(nAr,故方程组0AX的解空间是一维的。若0,则0**AAA,故0*A,为*A的一个特征向量。若0,则为方程组0AX解空间的一组基,又0*AA,故*A也是方程组0AX的解,于是存在k使得kA*,即为*A的一个特征向量。},,max{1nk,则jininjiijiihx11,,jininjiijiikiy11,5故njiniijijinjijijininjiijiiniinhhhhxx1,21221,,11,12,2||||||||||njiniijijinjijijininjiijiiniinkkkkiyy1,21221,,11,122||||||||||于是,nhx且nky。特征值,并设,于是当0时必为纯虚数。因此,6(本题结论改为:存在C,使得)()(AtrAT更恰当)证明:因为T是线性映射,且满足)()(BATABT,故0)(BAABT,于是任给nji1,都有0)()(iiijijiiijEEEETET,且0)()(ijjijiijjjiiEEEETEET,因此设)(11ET,则)()()()(1,1AtrETaETaATnjiniiiiiijij。

1、当您付费下载文档后,您只拥有了使用权限,并不意味着购买了版权,文档只能用于自身使用,不得用于其他商业用途(如 [转卖]进行直接盈利或[编辑后售卖]进行间接盈利)。
2、本站所有内容均由合作方或网友上传,本站不对文档的完整性、权威性及其观点立场正确性做任何保证或承诺!文档内容仅供研究参考,付费前请自行鉴别。
3、如文档内容存在违规,或者侵犯商业秘密、侵犯著作权等,请点击“违规举报”。

碎片内容

中科院高等代数解答

您可能关注的文档

文库响当当+ 关注
实名认证
内容提供者

该用户很懒,什么也没介绍

确认删除?
VIP
微信客服
  • 扫码咨询
会员Q群
  • 会员专属群点击这里加入QQ群
客服邮箱
回到顶部