电脑桌面
添加小米粒文库到电脑桌面
安装后可以在桌面快捷访问

第五章 线形系统的频域分析法VIP免费

第五章 线形系统的频域分析法_第1页
1/10
第五章 线形系统的频域分析法_第2页
2/10
第五章 线形系统的频域分析法_第3页
3/10
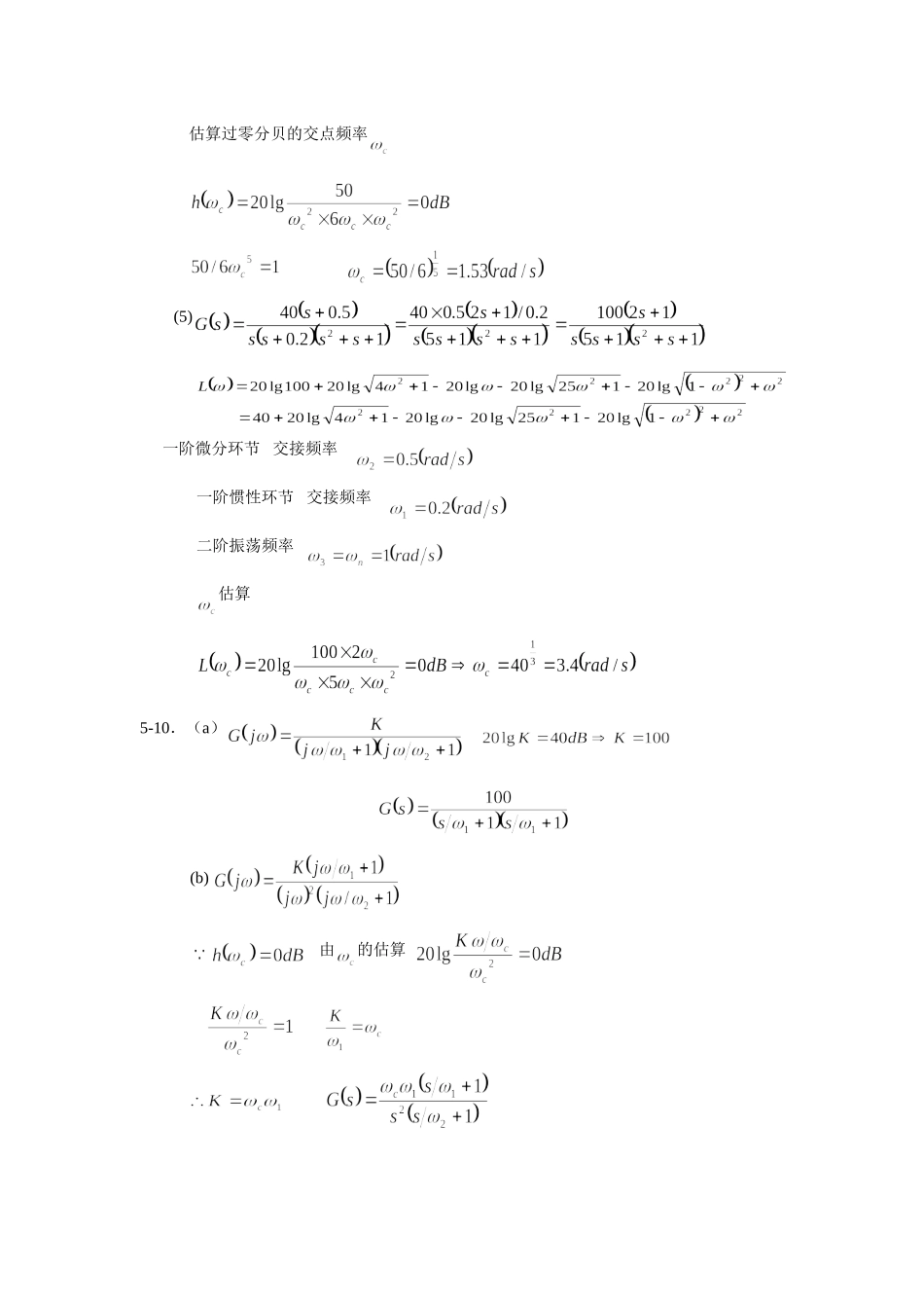
5-5.试证。为近似对数幅频曲线最左端直线(或其延长线)与零分贝交点频率。(1)(2)若考虑延长线与零分贝线交点频率,则有:5-6.(1)图:1/81/21.2551414-3.27=10.7314-15.3=-1.3-14.6-38.1(2)图:5-9.(4)二阶振荡环节一阶惯性环节交接频率估算过零分贝的交点频率(5)一阶微分环节交接频率一阶惯性环节交接频率二阶振荡频率估算5-10.(a)(b)由的估算(c)当时,在处近似为零分贝。则有5-11.(1)(2)5-12.(1)(2)(3)5-16.(1)顺时针包围点。闭环不稳定,右半s平面的根的个数Z=2(2)闭环系统稳定(3)顺时针包围闭环不稳定(4)闭环稳定(5),闭环不稳定(6)闭环稳定(7)闭环稳定(8)闭环稳定(9),闭环不稳定(10)闭环不稳定,在右半s平面有2个根。5-17.内环信息:由判据判定右根故在右半s平面无根,闭环不稳定5-18.系统不稳定(4)估计:由于系统是最小相位:系统闭环不稳定若由对数频率判据:闭环系统不稳定(6)闭环系统不稳定(8)闭环不稳定5-19确定的值则有:由5-20确定闭环系统临界稳定时的5-22=5–24.估计⑴⑵

1、当您付费下载文档后,您只拥有了使用权限,并不意味着购买了版权,文档只能用于自身使用,不得用于其他商业用途(如 [转卖]进行直接盈利或[编辑后售卖]进行间接盈利)。
2、本站所有内容均由合作方或网友上传,本站不对文档的完整性、权威性及其观点立场正确性做任何保证或承诺!文档内容仅供研究参考,付费前请自行鉴别。
3、如文档内容存在违规,或者侵犯商业秘密、侵犯著作权等,请点击“违规举报”。

碎片内容

第五章 线形系统的频域分析法

海纳百川+ 关注
实名认证
内容提供者

热爱教学事业,对互联网知识分享很感兴趣

确认删除?
VIP
微信客服
  • 扫码咨询
会员Q群
  • 会员专属群点击这里加入QQ群
客服邮箱
回到顶部