电脑桌面
添加小米粒文库到电脑桌面
安装后可以在桌面快捷访问

分数乘除法分类计算VIP免费

分数乘除法分类计算_第1页
1/5
分数乘除法分类计算_第2页
2/5
分数乘除法分类计算_第3页
3/5
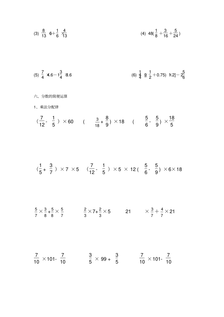
分数的运算分类练习一、分数的乘法72×1252417×3492518×1651917×51383619×2448×16136326×392828×87871×0.8751511×3325150×1523.25×1343617×85722152×65二、分数的除法15÷16=47÷1=12÷17=53÷32=45÷512=0÷65=45÷512=0÷65=54÷21=34÷18=13÷16=14÷34=1÷34=15÷19=45÷34=23÷94=三、分数的连乘43×95×152143×171×221143×116×212231×3626×1310452×172×11743×32×5297×53×2154835×158×76四、分数乘除混合运算111471685352465831155538261938×4÷38×414×75÷14×7517×913÷514÷31358÷712÷710253531257÷6÷21五、分数混合运算(1)37÷74+37×37(2)711÷[25-(1-710)](3)813÷6+16×413(4)48×(18+316+524)(5)74×4.6-134×3.6(6)414÷[(12+0.75)×1.2]-256六、分数的简便运算1、乘法分配律(712-15)×60(183+89)×18(56-59)×185(15+37)×7×5(712-15)×5×12(56-59)×6×1857×38+58×5723×7+23×521×73+74×21710×101-71035×99+35710×101-710201620152017135341362008×20062007513226815341135127247179249175198136196131113811371381371392、乘法交换律与结合律54×97×8575×16×521135×74×143、拆分法10915414313217217-56154213-3011209-127

1、当您付费下载文档后,您只拥有了使用权限,并不意味着购买了版权,文档只能用于自身使用,不得用于其他商业用途(如 [转卖]进行直接盈利或[编辑后售卖]进行间接盈利)。
2、本站所有内容均由合作方或网友上传,本站不对文档的完整性、权威性及其观点立场正确性做任何保证或承诺!文档内容仅供研究参考,付费前请自行鉴别。
3、如文档内容存在违规,或者侵犯商业秘密、侵犯著作权等,请点击“违规举报”。

碎片内容

分数乘除法分类计算

您可能关注的文档

确认删除?
VIP
微信客服
  • 扫码咨询
会员Q群
  • 会员专属群点击这里加入QQ群
客服邮箱
回到顶部