电脑桌面
添加小米粒文库到电脑桌面
安装后可以在桌面快捷访问

复习题二次根式勾股定理VIP免费

复习题二次根式勾股定理_第1页
1/4
复习题二次根式勾股定理_第2页
2/4
复习题二次根式勾股定理_第3页
3/4
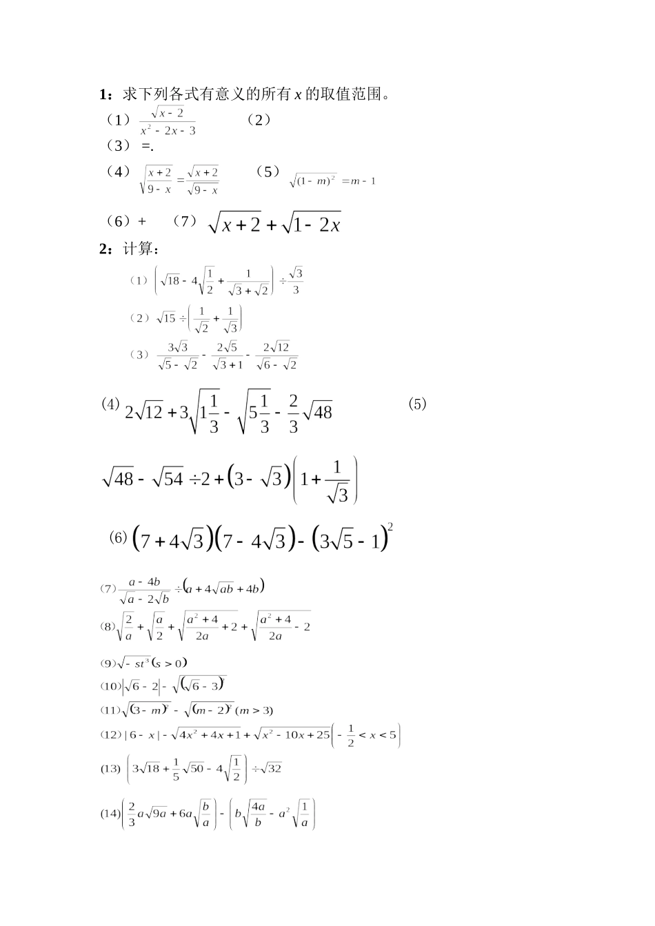
1:求下列各式有意义的所有x的取值范围。(1)(2)(3)=.(4)(5)(6)+(7)2:计算:(4)(5)(6)3:已知:,求:的值。4、当a<1且时,化简5、已知:,求:6.如果最简根式和是同类二次根式,那么a,b的值是7.已知x、y是实数,且满足y=++1试求9x—2y的值为8.把根号外的因式移到根号内:(3)9、当x=-1时,求的值10、已知a=,求的值11.已知,求的值。12.已知:,求的值。1.△ABC中,AB=15,AC=13,高AD=12,则△ABC的周长为2.在Rt△ABC中,∠C=90°,BC=12cm,S△ABC=30cm2,则AB=.3.“中华人民共和国道路交通管理条例”规定:小汽车在城街路上行驶速度不得超过70km/h.如图,,一辆小汽车在一条城市街路上直道行驶,某一时刻刚好行驶到路对面车速检测仪正前方30m处,过了2s后,测得小汽车与车速检测仪间距离为50m,这辆小汽车超速了吗?A小汽车小汽车BC观测点CBADE4、如图,有一个直角三角形纸片,两直角边AC=6cm,BC=8cm,现将直角边AC沿直线AD折叠,使它落在斜边AB上,C与E重合,则CD的长为。5.如图,将长方形ABCD沿着对角线BD折叠,使点C落在C′处,BC′交AD于E.已知AB=4,AD=8,△BED的面积为。6.如图,小红用一张长方形纸片ABCD进行折纸,已知纸片宽AB=8cm,长BC=10cm当小红折叠时,顶点D落在BC边上的F处(折痕为AE)想一想,此时EC有多长?用你学过的方法进行解释。你能否求出折痕AE的长?7.如图,在△ABC中,AB=8,BC=6,AC=4,AD,AE分别为BC边上的中线和高,求DE的长。8.将一根24cm的筷子,置于底面直径为5cm,高为12cm的圆柱形水杯中,设筷子露在杯子外面的长为hcm,则h的取值范围是__________.9.将一根14cm的吸管,置于底面直径为10cm,高为12cm的圆柱形饮料杯中,设吸管露在杯子外面的长为hcm,则h的取值范围是__________.10、如图,在∆ABC中,,AB=8cm,BC=15cm,P是到∆ABC三边距离相等的点,求点P到∆ABC三边的距离。11、△ABC中,AB=AC=20,BC=32,D是BC上一点,且AD⊥AC,求BD的长.12、在等腰Rt▲ABC中,CAB=,P是三角形内一点,且PA=1,PB=3,PC=求:CPA的大小?13、如图所示,△ABC是等腰直角三角形,AB=AC,D是斜边BC的中点,E、F分别是AB、AC边上的点,且DE⊥DF,若BE=12,CF=5.求线段EF的长。14、如图,已知直角△ABC的两直角边分别为6,8,BEDCA86CBACBAPABCP分别以其三边为直径作半圆,求图中阴影部分的面积.

1、当您付费下载文档后,您只拥有了使用权限,并不意味着购买了版权,文档只能用于自身使用,不得用于其他商业用途(如 [转卖]进行直接盈利或[编辑后售卖]进行间接盈利)。
2、本站所有内容均由合作方或网友上传,本站不对文档的完整性、权威性及其观点立场正确性做任何保证或承诺!文档内容仅供研究参考,付费前请自行鉴别。
3、如文档内容存在违规,或者侵犯商业秘密、侵犯著作权等,请点击“违规举报”。

碎片内容

复习题二次根式勾股定理

您可能关注的文档

精品文档+ 关注
实名认证
内容提供者

中小学学习资料大全

相关文档

确认删除?
VIP
微信客服
  • 扫码咨询
会员Q群
  • 会员专属群点击这里加入QQ群
客服邮箱
回到顶部