电脑桌面
添加小米粒文库到电脑桌面
安装后可以在桌面快捷访问

【精品】高中数学 9.9《棱柱与棱锥·第二课时》教案 旧人教版必修VIP免费

【精品】高中数学 9.9《棱柱与棱锥·第二课时》教案 旧人教版必修_第1页
1/4
【精品】高中数学 9.9《棱柱与棱锥·第二课时》教案 旧人教版必修_第2页
2/4
【精品】高中数学 9.9《棱柱与棱锥·第二课时》教案 旧人教版必修_第3页
3/4
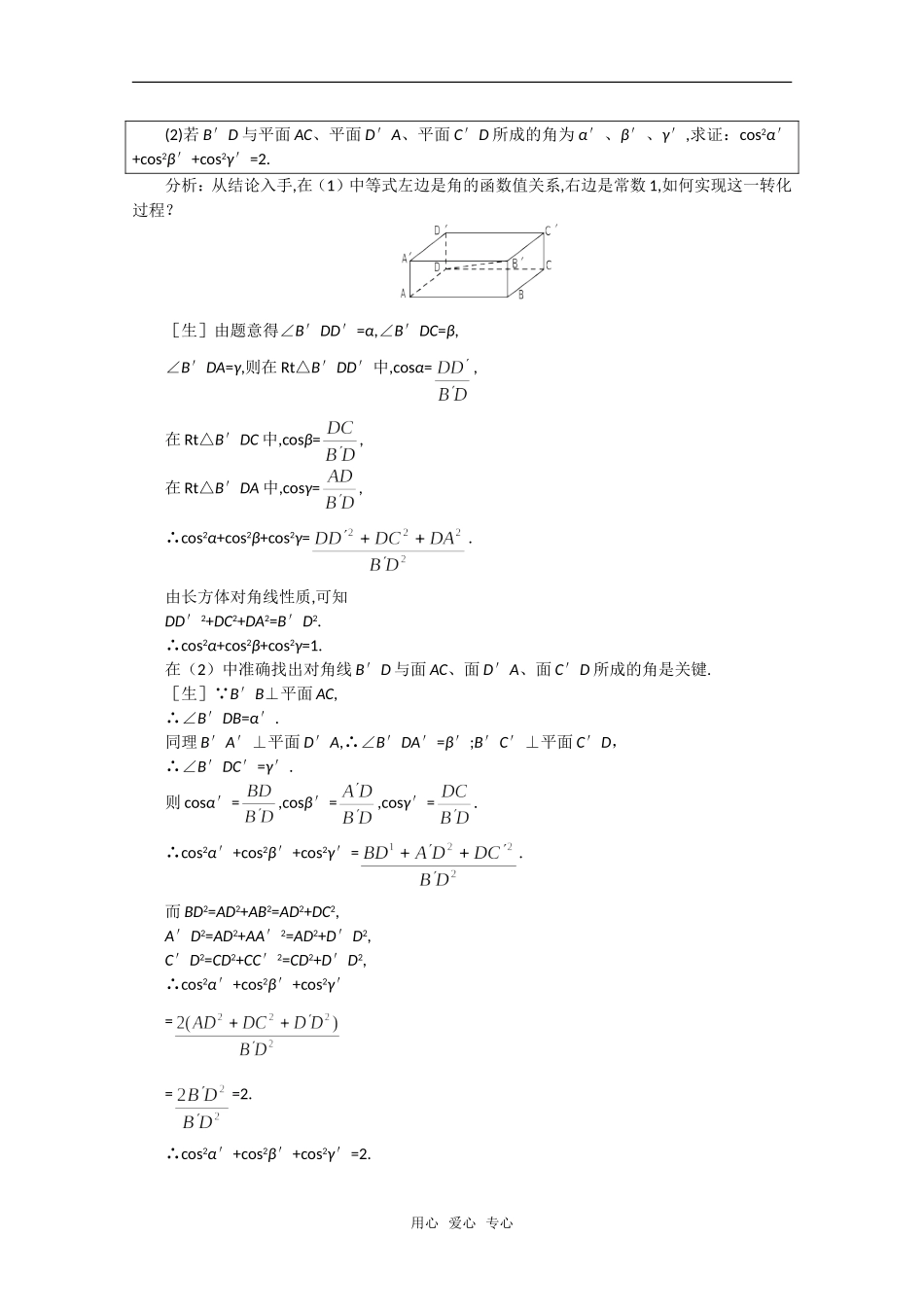
棱柱(二)●教学目标(一)教学知识点1.平行六面体性质的探讨.2.长方体对角线的性质定理的应用.(二)能力训练要求1.使学生通过分析平行四边形的性质从而发现并归纳出平行六面体的性质.2.使学生熟练掌握长方体的对角线性质并能灵活应用于计算证明中.(三)德育渗透目标1.体会客观事物之间普遍联系的辩证唯物主义观点.2.培养学生用联系的观点、类比的思想分析解决各种问题的能力.●教学重点1.平行六面体的性质.2.长方体对角线性质定理的应用.●教学难点如何将旧知识重新组合并灵活解决新问题的能力.●教学方法发现式教学法通过复习巩固旧知识引导学生用联系的观点、类比的思想发现新知识解决新问题,从而培养学生归纳、猜想、论证的能力及分析问题、解决问题的能力.●教具准备投影片四张.第一张:第一组问题(记作9.7.2A)第二张:第二组问题(记作9.7.2B)第三张:第三组问题(记作9.7.2C)第三张:第四组问题(记作9.7.2D)●教学过程Ⅰ.平行六面体的性质第一组问题——复习巩固提问.(打出投影片9.7.2A)1.平行四边形各边有什么性质?2.平行四边形的两条对角线有什么性质?3.平行四边形的两条对角线与四条边之间有什么关系?上述问题,经认真思考,大部分学生能准确回答,教师予以强调并进一步提问.第二组问题——类比旧知识,归纳猜想并证明新结论.(打出投影片9.7.2B)1.平行六面体的各边有什么性质?2.平行六面体的四条对角线有什么性质?3.平行六面体的四条对角线与十二条棱的关系如何?上述问题的解答,教师引导学生在第一组问题结论的基础上,大胆尝试、归纳猜想以下结论:(1)由“平行四边形对边平行且相等”猜想:“平行六面体的对边平行且全等”.(2)由“平行四边形的两条对角线交于一点,且在交点处互相平分”猜想:“平行六面体的四条对角线交于一点,且在交点处互相平分”.(3)由“平行四边形的两条对角线的平方和等于它四条边的平方和”猜想:“平行六面体用心爱心专心的四条对角线的平方和等于它十二条棱的平方和”.(板书以上三条平行六面体的性质)教师应给学生充分的时间考虑如何从理论上证明上述平行六面体的性质.对于(1),学生能准确运用平行六面体的定义及全等形的判定方法给予证明;对于(2)的“四线共点”可能感到困难,教师提醒学生可先证两条线交于一点,再证其余两线也过此点;对于(3),学生容易观察到平行六面体任意两条对角线都是以它的棱为邻边的平行四边形的两条对角线,再利用平行四边形对角线平方和等于它各边平方和这一性质即可证得.教师指出:上述过程中,我们体会到了平行四边形的性质不仅其本身作用较大,而且可以推广到空间,其实,客观世界里的各种事物之间都是互相联系的,重要的是要善于观察、寻找,发现并研究其联系.Ⅱ.长方体及其性质第三组问题——继续类比、归纳、猜想、证明.(打出投影片9.7.2C)1.满足什么条件的平行四边形为矩形?2.满足什么条件的平行六面体为长方体?3.能否体会出“长方体一条对角线的平方等于同一个顶点上三条棱的平方和”这一性质与平面几何中矩形的什么性质对应?上述问题1、2,学生能准确回答:对角线相等的平行四边形是矩形,并在此基础上归纳猜想:对角线相等的平行六面体是长方体.教师引导学生给予其理论证明.已知:平行六面体ABCD—A′B′C′D′所有对角线都相等.求证:平行六面体ABCD—A′B′C′D′是长方体.证明: 平行六面体的对角面是平行四边形,又平行六面体ABCD—A′B′C′D′的对角线都相等,∴四边形BB′D′D是矩形,B′B⊥BD.同理,四边形AA′C′C是矩形.∴A′A⊥AC. A′A∥B′B,∴B′B⊥AC. BD∩AC=O,∴B′B⊥面ABCD.∴平行六面体ABCD—A′B′C′D′是直平行六面体.同理,四边形A′BCD′是矩形,四边形AB′C′D是矩形,∴BC⊥A′B,B′C′⊥AB′.又 B′C′∥BC,∴BC⊥AB′,且AB′∩A′B=O′.∴BC⊥平面ABB′A′,BC⊥AB.∴平行四边形ABCD为矩形.综上所述,平行六面体ABCD—A′B′C′D′是长方体.第四组问题——长方体对角线性质定理的应用.(打出投影片9.7.2D)已知长方体AC′中,B′D是一条对角线.(1)若BD′与DD′、DC、DA所成的角分别为α、β、γ,求证:cos2α+cos2β+cos2γ=1.用心爱心专心(2...

1、当您付费下载文档后,您只拥有了使用权限,并不意味着购买了版权,文档只能用于自身使用,不得用于其他商业用途(如 [转卖]进行直接盈利或[编辑后售卖]进行间接盈利)。
2、本站所有内容均由合作方或网友上传,本站不对文档的完整性、权威性及其观点立场正确性做任何保证或承诺!文档内容仅供研究参考,付费前请自行鉴别。
3、如文档内容存在违规,或者侵犯商业秘密、侵犯著作权等,请点击“违规举报”。

碎片内容

【精品】高中数学 9.9《棱柱与棱锥·第二课时》教案 旧人教版必修

您可能关注的文档

确认删除?
VIP
微信客服
  • 扫码咨询
会员Q群
  • 会员专属群点击这里加入QQ群
客服邮箱
回到顶部