电脑桌面
添加小米粒文库到电脑桌面
安装后可以在桌面快捷访问

2015年高考真题——理科数学(上海卷)-Word版含解析VIP免费

2015年高考真题——理科数学(上海卷)-Word版含解析_第1页
1/9
2015年高考真题——理科数学(上海卷)-Word版含解析_第2页
2/9
2015年高考真题——理科数学(上海卷)-Word版含解析_第3页
3/9
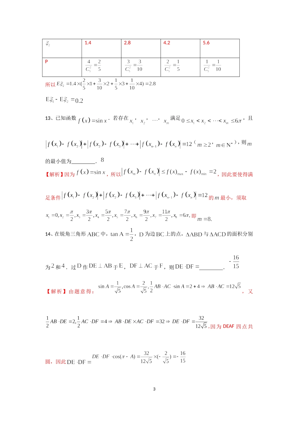
1、设全集.若集合,,则.【答案】2、若复数满足,其中为虚数单位,则.【答案】3、若线性方程组的增广矩阵为、解为,则.【答案】4、若正三棱柱的所有棱长均为,且其体积为,则.5、抛物线()上的动点到焦点的距离的最小值为,则.【答案】6、若圆锥的侧面积与过轴的截面面积之比为,则其母线与轴的夹角的大小为.【答案】7、方程的解为.【答案】8、在报名的名男教师和名女教师中,选取人参加义务献血,要求男、女教师都有,则不同的选取方式的种数为(结果用数值表示).【答案】9、已知点和的横坐标相同,的纵坐标是的纵坐标的倍,和的轨迹分别为双曲线和.若的渐近线方程为,则的渐近线方程为.1【答案】10、设为,的反函数,则的最大值为.【答案】11、在的展开式中,项的系数为(结果用数值表示).【答案】12、赌博有陷阱.某种赌博每局的规则是:赌客先在标记有,,,,的卡片中随机摸取一张,将卡片上的数字作为其赌金(单位:元);随后放回该卡片,再随机摸取两张,将这两张卡片上数字之差的绝对值的倍作为其奖金(单位:元).若随机变量和分别表示赌客在一局赌博中的赌金和奖金,则(元).【答案】【解析】赌金的分布列为12345P所以奖金的分布列为21.42.84.25.6P所以13、已知函数.若存在,,,满足,且(,),则的最小值为.【解析】因为,所以,因此要使得满足条件的最小,须取即14、在锐角三角形中,,为边上的点,与的面积分别为和.过作于,于,则.【解析】由题意得:,又,因为DEAF四点共圆,因此315、设,,则“、中至少有一个数是虚数”是“是虚数”的()A.充分非必要条件B.必要非充分条件C.充要条件D.既非充分又非必要条件【答案】B16、已知点的坐标为,将绕坐标原点逆时针旋转至,则点的纵坐标为()17、记方程①:,方程②:,方程③:,其中,,是正实数.当,,成等比数列时,下列选项中,能推出方程③无实根的是()A.方程①有实根,且②有实根B.方程①有实根,且②无实根C.方程①无实根,且②有实根D.方程①无实根,且②无实根【答案】B【解析】当方程①有实根,且②无实根时,,从而即方程③:无实根,选B.而A,D由于不等式方向不一致,不可推;C推出③有实根20、(本题满分14分)本题共有2小题,第小题满分6分,第小题满分8分如图,,,三地有直道相通,千米,千米,千米.现甲、乙两警员同时从地出发匀速前往地,经过小时,他们之间的距离为(单位:千米).甲的路线是,速度为千米/小时,乙的路线是,速度为千米/小时.乙到达地后原地等待.设时乙到达地.(1)求与的值;(2)已知警员的对讲机的有效通话距离是千米.当时,求的表达式,并判断在上得最大值是否超过?说明理由.4【答案】(1),(2)187,558783,184225)(2ttttttf,不超过.(2)甲到达用时小时;乙到达用时小时,从到总用时小时.当时,;当时,.所以187,558783,184225)(2ttttttf.因为在上的最大值是,在上的最大值是5,所以在上的最大值是,不超过.21、已知椭圆,过原点的两条直线和分别于椭圆交于、和、,记得到的平行四边形的面积为.(1)设,,用、的坐标表示点到直线的距离,并证明;(2)设与的斜率之积为,求面积的值.【答案】(1)详见解析(2)由,,整理得.22、已知数列与满足,.(1)若,且,求数列的通项公式;6(2)设的第项是最大项,即(),求证:数列的第项是最大项;(3)设,(),求的取值范围,使得有最大值与最小值,且.【答案】(1)(2)详见解析(3)因为,,所以,即.故的第项是最大项.解:(3)因为,所以,当时,.当时,,符合上式.所以.因为,所以,.①当时,由指数函数的单调性知,不存在最大、最小值;②当时,的最大值为,最小值为,而;7③当时,由指数函数的单调性知,的最大值,最小值,由及,得.综上,的取值范围是.23、对于定义域为的函数,若存在正常数,使得是以为周期的函数,则称为余弦周期函数,且称为其余弦周期.已知是以为余弦周期的余弦周期函数,其值域为.设单调递增,,.(1)验证是以为周期的余弦周期函数;(2)设.证明对任意,存在,使得;(3)证明:“...

1、当您付费下载文档后,您只拥有了使用权限,并不意味着购买了版权,文档只能用于自身使用,不得用于其他商业用途(如 [转卖]进行直接盈利或[编辑后售卖]进行间接盈利)。
2、本站所有内容均由合作方或网友上传,本站不对文档的完整性、权威性及其观点立场正确性做任何保证或承诺!文档内容仅供研究参考,付费前请自行鉴别。
3、如文档内容存在违规,或者侵犯商业秘密、侵犯著作权等,请点击“违规举报”。

碎片内容

2015年高考真题——理科数学(上海卷)-Word版含解析

您可能关注的文档

确认删除?
VIP
微信客服
  • 扫码咨询
会员Q群
  • 会员专属群点击这里加入QQ群
客服邮箱
回到顶部