电脑桌面
添加小米粒文库到电脑桌面
安装后可以在桌面快捷访问

实际问题与二元一次方程组第一课时VIP免费

实际问题与二元一次方程组第一课时_第1页
1/25
实际问题与二元一次方程组第一课时_第2页
2/25
实际问题与二元一次方程组第一课时_第3页
3/25
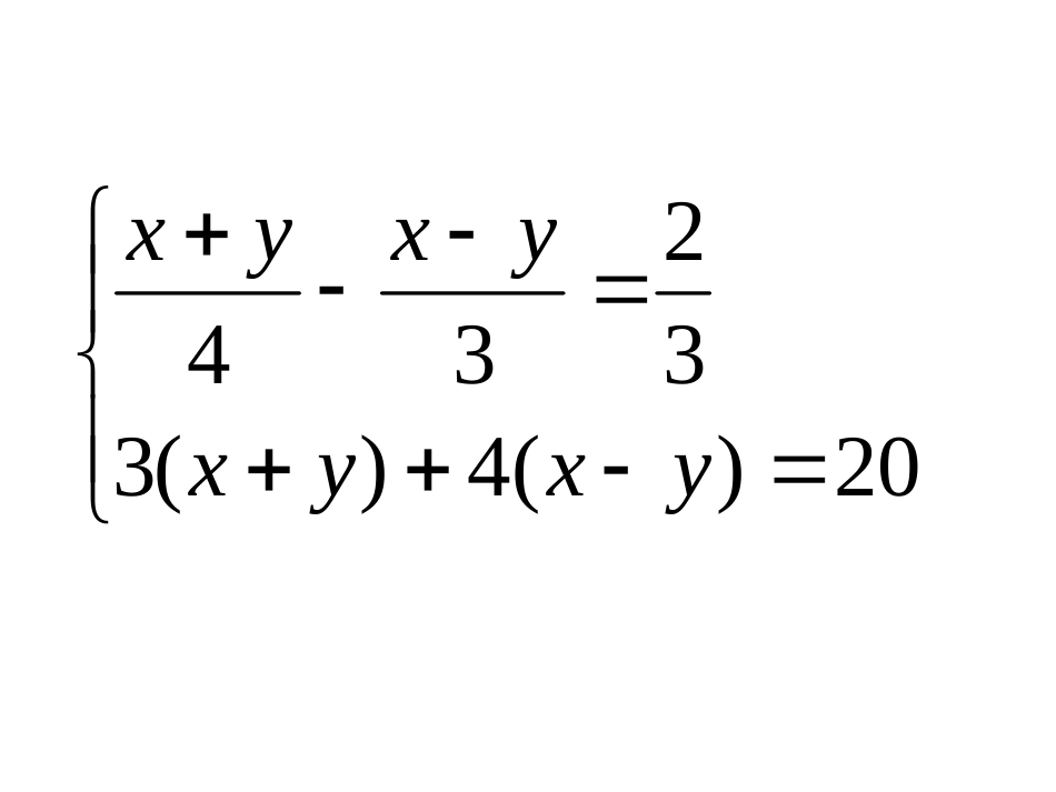
20)(4)(33234yxyxyxyx实际问题与二元一次方程组悟空顺风探妖踪,千里只行四分钟.逆风四分行六百,速度多少盖悟空?顺风速度=悟空无风飞行速度+风速逆风速度=悟空无风飞行速度-风速解:设悟空飞行速度是每分钟x里,风速是每分钟y里,4(x-y)=600x=200y=50答:悟空速度是每分钟200里。4(x+y)=1000解得:依题意得复习总结列方程解实际问题的步骤是什么?审题,理清题意;合理设未知数;根据等量关系列方程(组);解方程(组);验证解是否符合实际,并作答;探究1养牛场原有30只大牛和15只小牛,1天用饲料675kg;一周后又购进12只大牛和5只小牛,这时1天需用饲料940kg。饲养员李大叔估计每只大牛1天约需饲料18~20kg,每只小牛1天约需饲料7~8kg。你能否通过计算验证他的估计?问题思考:(1)题中有哪些已知量?哪些未知量?(2)题中等量关系有哪些?(3)如何解这个应用题?这就是说,每只大牛约需饲料20kg,每只小牛约需饲料5kg。因此,饲料员李大叔对大牛的食量估计较准确,对小牛的食量估计偏高。你的答案对了吗?940)515()1230(6755130yxyx解得:yx2052x+y=452.1x+y=47化简得:①②解:设平均每只大牛和每只小牛1天各约需饲料xkg和ykg。依题意得练一练小杨买10支笔和15本笔记本需58元,买20支笔和40本笔记本需148元,这个店铺每支笔和每本笔记本各有多少?哼!我从你背上拿来1个,我的包裹数就是你的2倍!累死我了!你还累?这么大的个,才比我多驮了2个。真的?!谁的包裹多老牛和小马各自驮了多少包裹?100个和尚分100个馒头,大和尚每人吃3个,小和尚每3人吃一个,问:大小和尚各有几个?小挑战1小龙在拼图时,发现8个一样大的小长方形,恰好可以拼成一个大长方形,如图甲所示。小明看见了说“我来试一试”,结果小明七拼八凑,拼成一个如图乙的正方形,中间留下一个洞,恰好是边长2mm的小正方形。你能算出小长方形的长和宽吗?甲乙小挑战2小明问老师多少岁了,老师说:“我像你这么大时,你才4岁,你到我这么大时,我就40岁了”问小明和老师各多少岁?某所中学现有学生4200人,计划一年后初中在校生增加8%,高中在校生增加11%,这样全校在校生将增加10%,则这所学校一年后将有初、高中在校生各多少名?探究2•据以往的统计资料,甲、乙两种作物的单位面积产量的比是1:1.5,现要在一块长200m,宽100m的长方形土地,分为两个小长方形土地,分别种植这两种作物,怎样划分这块土地,使甲、乙两种作物的总产量的比是3:4(结果取整数)?分析:如图所示,一种种植方案为:甲、乙两种作物的种植区域分别为长方形AEFD和BCFE。设AE=xm,BE=ym,根据问题中涉及长度、产量的数量关系,列方程组,。解这个方程组,得x=,y=,过长方形土地的长边离一端约处,把这块地分为两个长方形。较大一块地种种作物,较小一块地种种作物。xyABCDEFx+y=200100x:1.5×100y=3:4171510517294106m甲种乙种想一想:某蔬菜公司收购到某种蔬菜140吨,准备加工上市销售。该公司的加工能力是:每天可以精加工6吨或粗加工16吨。现计划用15天完成加工任务,该公司应安排几天精加工,几天粗加工?解:设该公司应安排x天精加工,y天粗加工,x+y=156x+16y=140解得:x=10y=5答:该公司应安排x10天精加工,5天粗加工。依题意得•据以往的统计资料:甲、乙两种作物的单位面积产量的比是1:1.5,现要在一块长200米,宽100米的长方形土地上种植这两种作物,怎样把这块地分为两个长方形,使甲、乙两种作物的总产量的比是3:4(结果取整数)?100m200m探究24.某车间有90名工人,每人每天平均能生产螺栓15个或螺帽24个,要使一个螺栓配套两个螺帽,应如何分配工人才能使螺栓和螺帽刚好配套?设生产螺栓x人,生产螺帽y人,列方程组为()AB、C、D、yxyx241590xyyx154890yxyx243090yxxy24)15(290c学习致用探索分析,解决问题例题:(探究3)如图,长青化工厂与A,B两地有公路、铁路相连.这家工厂从A地购买一批每吨1000元的原料运回工厂,制成每吨8000元的产品运到B地.公路运价为1.5元(吨·千米),铁路运价为1.2元(吨·...

1、当您付费下载文档后,您只拥有了使用权限,并不意味着购买了版权,文档只能用于自身使用,不得用于其他商业用途(如 [转卖]进行直接盈利或[编辑后售卖]进行间接盈利)。
2、本站所有内容均由合作方或网友上传,本站不对文档的完整性、权威性及其观点立场正确性做任何保证或承诺!文档内容仅供研究参考,付费前请自行鉴别。
3、如文档内容存在违规,或者侵犯商业秘密、侵犯著作权等,请点击“违规举报”。

碎片内容

实际问题与二元一次方程组第一课时

您可能关注的文档

教育精品店+ 关注
实名认证
内容提供者

优良的服务

确认删除?
VIP
微信客服
  • 扫码咨询
会员Q群
  • 会员专属群点击这里加入QQ群
客服邮箱
回到顶部