电脑桌面
添加小米粒文库到电脑桌面
安装后可以在桌面快捷访问

2014年江苏高考数学试题含答案(Word版)VIP免费

2014年江苏高考数学试题含答案(Word版)_第1页
1/13
2014年江苏高考数学试题含答案(Word版)_第2页
2/13
2014年江苏高考数学试题含答案(Word版)_第3页
3/13
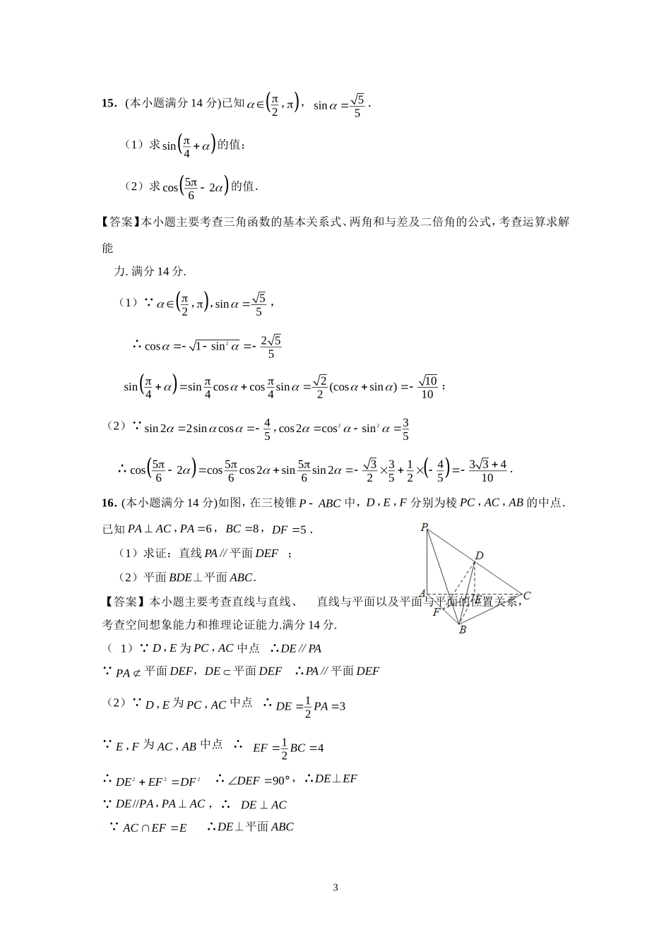
2014年江苏高考学科王数学试题数学Ⅰ试题参考公式:圆柱的侧学科王面积公式:S圆柱=cl,其中c是圆柱底面的周长,l为母线长.圆柱的体积公式:V圆柱=Sh,其中S是圆柱的底面积,h为高.一、填空题:本大题共14小题,每小题5分,共计70分.请把答案填写在答题卡相应位置上.1.已知集合{2134}A,,,,{123}B,,,则AB.【答案】{13},2.已知复数2(52)zi(i为虚数学科王单位),则z的实部为.【答案】21v3.右图是一个算法流程图,则输出的n的值是.【答案】5学4.从1236,,,这4个数中一次随机地取2个数,则所取2个数的乘积为6的概率是.【答案】135.已知函数cosyx与sin(2)(0)yx≤,它们的图象有一个横坐标为3的交点,则的值是.【答案】学科王66.设抽测的树木的底部周长均在区间[80130],上,其频率分布直方图如图所示,则在抽测的60株树木中,有株树木的底部周长小于100cm.【答案】247.在各项均为正数的等比数学科王列{}na中,若21a,8642aaa,则6a的值是.【答案】418.设甲学科王、乙两个圆柱的底面积分别为12SS,,体积分别为12VV,,若它们的侧面积相等,且1294SS,则12VV的值是.【答案】329.在平面直角坐标系xOy中,直线230xy被圆22(2)(1)4xy截得的弦长为.【答案】255510.已知函数2()1fxxmx,若学科王对任意[1]xmm,,都有()0fx成立,则实数m的取值范围是.【答案】202,11.在平面直角坐标系xOy中,若曲线2byaxx(ab,为常数)过点(25)P,,且该曲线在点P处的切线与直线12SS,平行,则ab的值是.【答案】312.如图,在平行四边形ABCD中,已知学科王,85ABAD,,32CPPDAPBP�,,则ABAD�的值是.【答案】2213.已知()fx是定义在R上且周期为3的函数,当[03)x,时,21()22fxxx.若函数()yfxa在区间[34],上有10个零点(互不相同),则实数a的取值范围是.【答案】102,14.若ABC的内角满足sin2sin2sinABC,则cosC的最小值是.【答案】624二、解答题:本大题共6小题,共计学科王90分.请在答题卡指定区域内作答,解答时应写出文字说明、证明学学科王科王过程或演算步骤.215.(本小题满分14分)已知2,,5sin5.(1)求sin4的值;(2)求cos26的值.【答案】本小题主要考查三角函数的基本关系式、两角和与差及二倍角的公式,考查运算求解能力.满分14分.(1) 5sin25,,,∴225cos1sin5210sinsincoscossin(cossin)444210;(2) 2243sin22sincoscos2cossin55,∴3314334cos2coscos2sinsin2666252510.16.(本小题满分14分)如图,在三棱锥PABC中,DEF,,分别为棱PCACAB,,的中点.已知6PAACPA,,8BC,5DF.(1)求证:直线PA∥平面DEF学科王;(2)平面BDE⊥平面ABC.【答案】本小题主要考查直线与直线、学学科王科王直线与平面以及平面与平面的位置关系,考查空间想象能力和推理论证能力.满分14分.(学科王1) DE,为PCAC,中点∴DE∥PA PA平面DEF,DE平面DEF∴PA∥平面DEF(2) DE,为PCAC,中点∴132DEPA EF,为ACAB,中点∴学科王142EFBC∴222DEEFDF∴90DEF°,∴DE⊥EF //DEPAPAAC,,∴学科王DEAC学科王 ACEFE学科王∴DE⊥平面ABC3 DE平面BDE,∴平面BDE⊥平面ABC.17.(本小学科王题满分14分)如图,在平面直角坐标系xOy中,12FF,分别是椭圆22221(0)yxabab的左、右学科王焦点,顶点B的坐标为(0)b,,连结2BF并延长交椭圆于点A,过点A作x轴的垂线交椭圆于另一点C,连结1FC.(1)若点C的坐标为4133,,且22BF,求椭圆的方程;(2)若1FCAB,求椭圆离心率e的值.【答案】本小题主要考查椭圆的标准方程与几何性质、直线与直线的位置关系等基础知识,考查运算求解能力.满分14分.(1) 4133C,,∴22161999ab 22222BFbca,∴22(2)2a,∴21b∴椭圆方程学科...

1、当您付费下载文档后,您只拥有了使用权限,并不意味着购买了版权,文档只能用于自身使用,不得用于其他商业用途(如 [转卖]进行直接盈利或[编辑后售卖]进行间接盈利)。
2、本站所有内容均由合作方或网友上传,本站不对文档的完整性、权威性及其观点立场正确性做任何保证或承诺!文档内容仅供研究参考,付费前请自行鉴别。
3、如文档内容存在违规,或者侵犯商业秘密、侵犯著作权等,请点击“违规举报”。

碎片内容

2014年江苏高考数学试题含答案(Word版)

您可能关注的文档

确认删除?
VIP
微信客服
  • 扫码咨询
会员Q群
  • 会员专属群点击这里加入QQ群
客服邮箱
回到顶部