电脑桌面
添加小米粒文库到电脑桌面
安装后可以在桌面快捷访问

分式的混合运算习题VIP免费

分式的混合运算习题_第1页
1/15
分式的混合运算习题_第2页
2/15
分式的混合运算习题_第3页
3/15
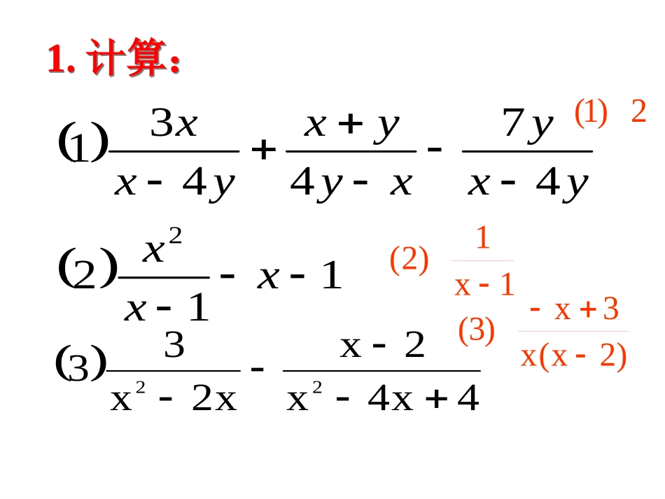
分式的加减法(二)16.2分式的混合运算习题课1.计算:1.计算:4x4x2xx2x33221124744312xxxyxyxyyxyxx2)1(1x1)2()2x(x3x)3(1111)1(2xxxxxxxxxxx4)44122)(2(22nmmnmnmm2121)3(2.计算1x)1(2)2x(1)2(1)3(1).2).3).1).2).3).xxxxxx24222122412232aaaaaaaaaaa14111323.计算2x1.1)6a)(2a(6a15.21a1a.31).2).3).4).1).2).3).4).aaaaaaaaa2444122222)225(423xxxxxxxxxxxx42442221a1a1a1a1a2aa8a42)()(4.(选做)挑战自我22002200420022002200220032225.拓展思维:你能很快计算出的值吗?4.答案1).解法一:4.答案1).解法一:aaaaaaaa42)2()1(4222aaaaaa4)2()2(4221aaaaaaaaaa24441222221).解法二:1).解法二:21aaaaaaaaaa24441222222).解:2)2)(2(5423xxxxx)3(21x)225(423xxxxxxxxx)2)(2(2121xxxxxxxx)2)(2()2(1)2)(2()2(1xxxx22x43).解:xxxxxxxx42442224).解:)1)(1(4)1)(2()2(4aaaaaaa1a111112842aaaaaaaa)()(仔细观察题目的结构特点,灵活运用运算律,适当运用计算技巧,可简化运算,提高速度,优化解题。22002200420022002200220032225.拓展思维:你能很快计算出的值吗?答案:1/2分式的混合运算:关键是要正确的使用相应的运算法则和运算顺序;正确的使用运算律,尽量简化运算过程;结果必须化为最简分式。混合运算的特点:是整式运算、因式分解、分式运算的综合运用,综合性强。小结

1、当您付费下载文档后,您只拥有了使用权限,并不意味着购买了版权,文档只能用于自身使用,不得用于其他商业用途(如 [转卖]进行直接盈利或[编辑后售卖]进行间接盈利)。
2、本站所有内容均由合作方或网友上传,本站不对文档的完整性、权威性及其观点立场正确性做任何保证或承诺!文档内容仅供研究参考,付费前请自行鉴别。
3、如文档内容存在违规,或者侵犯商业秘密、侵犯著作权等,请点击“违规举报”。

碎片内容

分式的混合运算习题

您可能关注的文档

相关文档

确认删除?
VIP
微信客服
  • 扫码咨询
会员Q群
  • 会员专属群点击这里加入QQ群
客服邮箱
回到顶部