电脑桌面
添加小米粒文库到电脑桌面
安装后可以在桌面快捷访问

建筑的结构计算题题库VIP免费

建筑的结构计算题题库_第1页
1/8
建筑的结构计算题题库_第2页
2/8
建筑的结构计算题题库_第3页
3/8
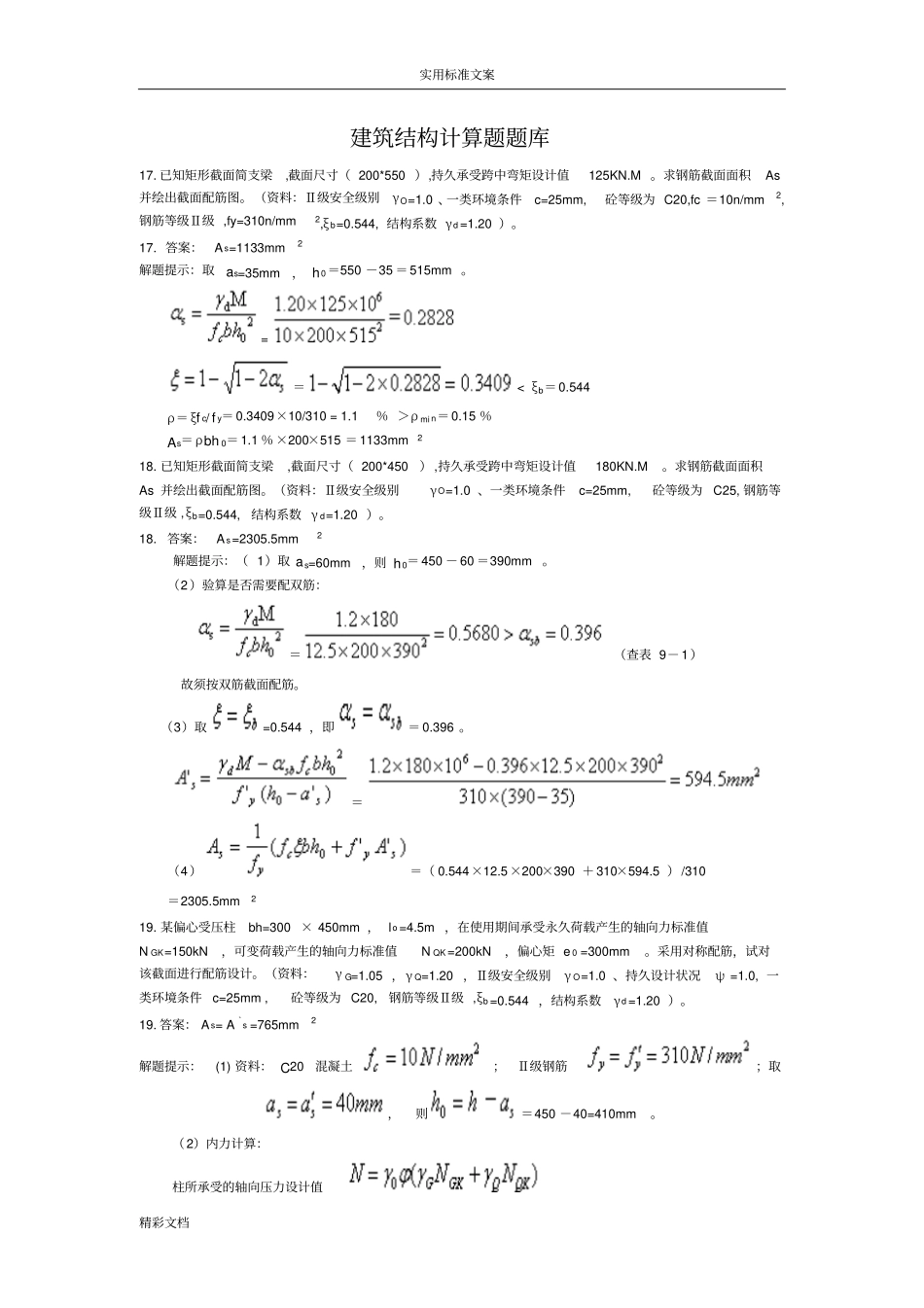
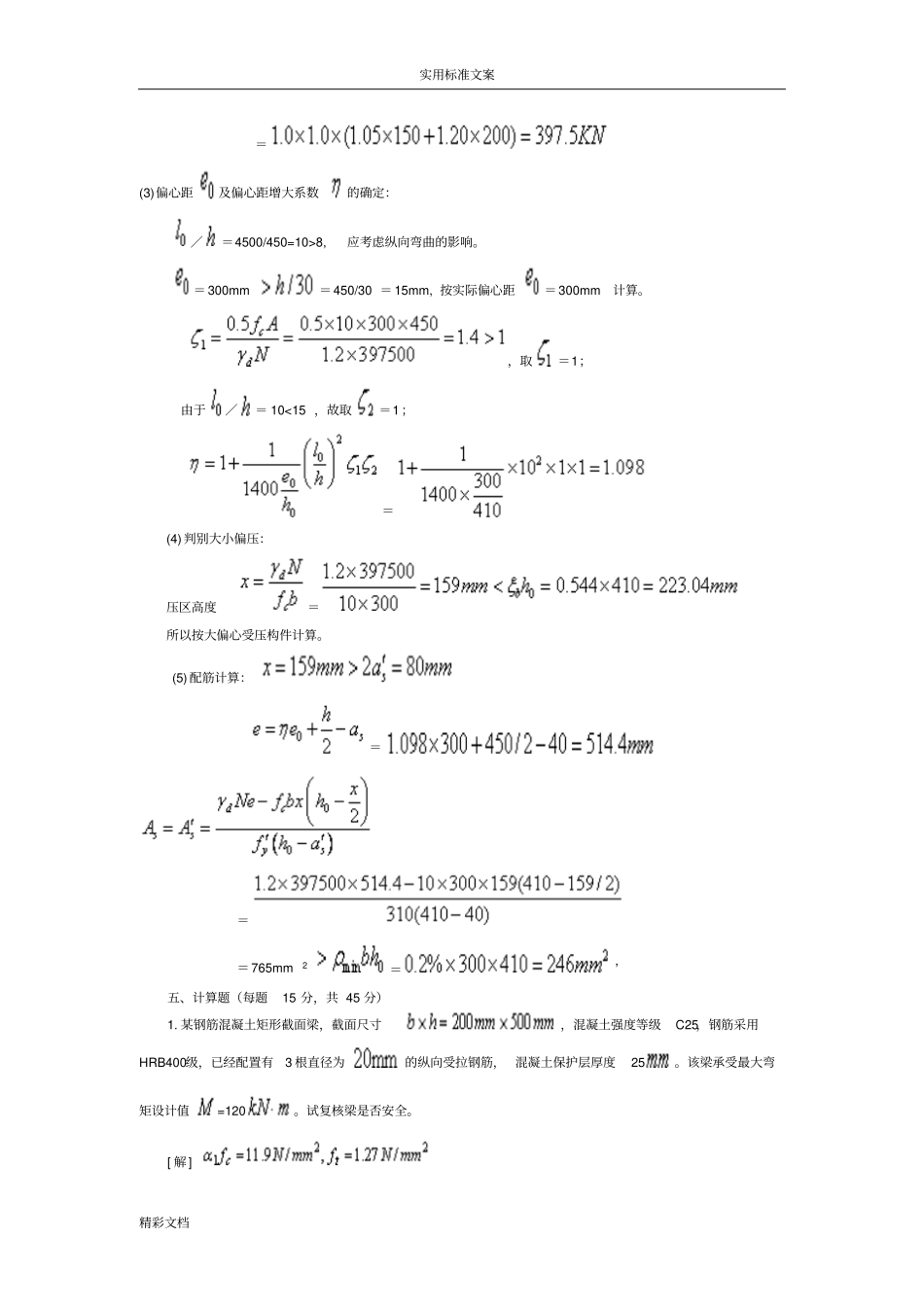
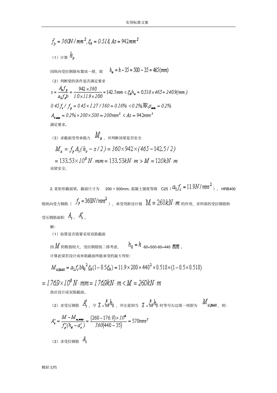
实用标准文案精彩文档建筑结构计算题题库17.已知矩形截面简支梁,截面尺寸(200*550),持久承受跨中弯矩设计值125KN.M。求钢筋截面面积As并绘出截面配筋图。(资料:Ⅱ级安全级别γO=1.0、一类环境条件c=25mm,砼等级为C20,fc=10n/mm2,钢筋等级Ⅱ级,fy=310n/mm2,ξb=0.544,结构系数γd=1.20)。17.答案:As=1133mm2解题提示:取as=35mm,h0=550-35=515mm。==<ξb=0.544ρ=ξfc/fy=0.3409×10/310=1.1%>ρmin=0.15%As=ρbh0=1.1%×200×515=1133mm218.已知矩形截面简支梁,截面尺寸(200*450),持久承受跨中弯矩设计值180KN.M。求钢筋截面面积As并绘出截面配筋图。(资料:Ⅱ级安全级别γO=1.0、一类环境条件c=25mm,砼等级为C25,钢筋等级Ⅱ级,ξb=0.544,结构系数γd=1.20)。18.答案:As=2305.5mm2解题提示:(1)取as=60mm,则h0=450-60=390mm。(2)验算是否需要配双筋:=(查表9-1)故须按双筋截面配筋。(3)取=0.544,即=0.396。=(4)=(0.544×12.5×200×390+310×594.5)/310=2305.5mm219.某偏心受压柱bh=300×450mm,lo=4.5m,在使用期间承受永久荷载产生的轴向力标准值NGK=150kN,可变荷载产生的轴向力标准值NQK=200kN,偏心矩e0=300mm。采用对称配筋,试对该截面进行配筋设计。(资料:γG=1.05,γQ=1.20,Ⅱ级安全级别γO=1.0、持久设计状况ψ=1.0,一类环境条件c=25mm,砼等级为C20,钢筋等级Ⅱ级,ξb=0.544,结构系数γd=1.20)。19.答案:As=A`s=765mm2解题提示:(1)资料:C20混凝土;Ⅱ级钢筋;取,则=450-40=410mm。(2)内力计算:柱所承受的轴向压力设计值实用标准文案精彩文档=(3)偏心距及偏心距增大系数的确定:/=4500/450=10>8,应考虑纵向弯曲的影响。=300mm=450/30=15mm,按实际偏心距=300mm计算。,取=1;由于/=10<15,故取=1;=(4)判别大小偏压:压区高度=所以按大偏心受压构件计算。(5)配筋计算:===765mm2=’五、计算题(每题15分,共45分)1.某钢筋混凝土矩形截面梁,截面尺寸,混凝土强度等级C25,钢筋采用HRB400级,已经配置有3根直径为的纵向受拉钢筋,混凝土保护层厚度25。该梁承受最大弯矩设计值=120。试复核梁是否安全。[解]实用标准文案精彩文档(1)计算因纵向受拉钢筋布置成一排,故(2)判断梁的条件是否满足要求满足要求。(3)求截面受弯承载力,并判断该梁是否安全该梁安全。2.某矩形截面梁,截面尺寸为200×500mm,混凝土强度等级C25(),HRB400级纵向受力钢筋(),承受弯距设计值的作用,求所需的受拉钢筋和受压钢筋面积、。解:(1)验算是否需要采用双筋截面因的数值较大,受拉钢筋按二排考虑,-60=500-60=440。计算此梁若设计成单筋截面所能承受的最大弯矩:故应设计成双筋截面。(2)求受压钢筋,令=,并注意到当=时等号右边第一项即为,则:(3)求受拉钢筋实用标准文案精彩文档3.某矩形截面简支梁,跨度l=6m,截面尺寸b×h=200×500mm,采用C25砼,HPB235级箍筋,h0=465mm,作用有均布荷载设计值q=40kN/m,试配置所需的箍筋。解:五、计算题(每小题15分,共30分)1.某矩形截面柱,其尺寸b×h=400×500mm,该柱承受的轴力设计值N=2000kN,计算长度,采用C30砼,HRB400级受力钢筋,已知,,,配置有纵向受力钢筋面积,试验算截面安全否。解:(1)确定稳定系数查表4-1得。(2)确定柱截面承载力由式(4-1)得故此柱截面安全。2.某矩形截面柱,截面尺寸b×h=300×400mm,已知构件承受的N=400kN,M=220kN·m,,,采用C30砼,HRB400级受力钢筋,已知,,求该柱所需的钢筋面积As=As’。解:假设为大偏心受压构件,且为大偏心受压构件。则,取1取1实用标准文案精彩文档由式(4-19)得选配五、计算题(共25分)1.某轴心受压砖柱,截面b×h=370×490mm,H0=H=4.2m,采用砖MU10、水泥砂浆M5砌筑,由荷载产生的柱底最大轴力设计值N=200kN,试验算此柱的承载力是否满足要求?(15分)解:轴向力设计值N为:N=200kN截面面积为:-与砂浆强度有关的系数;当砂浆强度等级大于等于M5时,=0.0015;由MU10砖、M5砂浆查得则此柱的承载力为不满足要求2.某办公楼,钢筋混凝土楼改,会议室外纵墙,每4.5m设一2.7...

1、当您付费下载文档后,您只拥有了使用权限,并不意味着购买了版权,文档只能用于自身使用,不得用于其他商业用途(如 [转卖]进行直接盈利或[编辑后售卖]进行间接盈利)。
2、本站所有内容均由合作方或网友上传,本站不对文档的完整性、权威性及其观点立场正确性做任何保证或承诺!文档内容仅供研究参考,付费前请自行鉴别。
3、如文档内容存在违规,或者侵犯商业秘密、侵犯著作权等,请点击“违规举报”。

碎片内容

建筑的结构计算题题库

您可能关注的文档

确认删除?
VIP
微信客服
  • 扫码咨询
会员Q群
  • 会员专属群点击这里加入QQ群
客服邮箱
回到顶部