电脑桌面
添加小米粒文库到电脑桌面
安装后可以在桌面快捷访问

数列概念和简单表示方法VIP免费

数列概念和简单表示方法_第1页
1/4
数列概念和简单表示方法_第2页
2/4
数列概念和简单表示方法_第3页
3/4
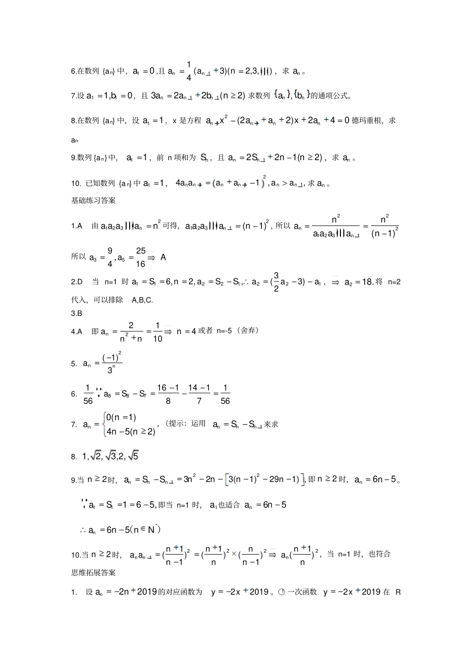
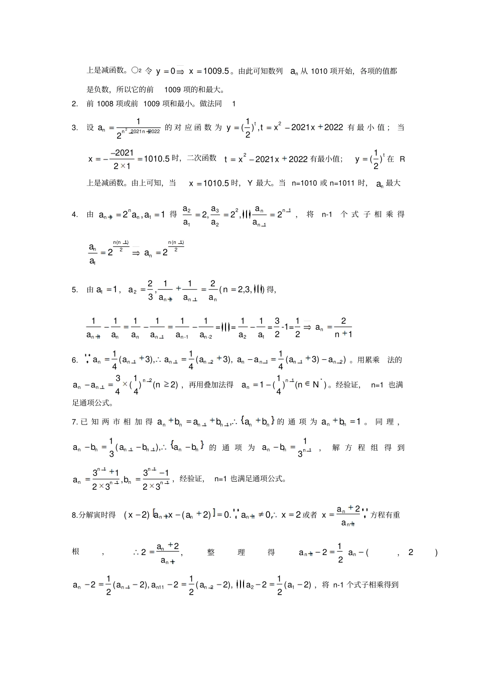
2.1数列的概念和简单表示方法基础练习1.在数列{an}中,11a,当2n时,2123naaaan,则35aa()A.6116B.259C.2516D.31152.如果数列{an}的前n项和332nnSa,那么这个数列的通项公式是()A.22(1)nannB.32nnaC.31nanD.23nna3.若数列{an}的通项公式是222028nann,那么1nnaa()A.2n-2B.2n-1C.2nD.2n+14.如果数列{an}的通项公式是22nann,那么110是它的()A.第四项B.第五项C.第六项D.第七项5.数列111,,,3927的通项公式是()6.若数列{an}的前n项和21nnSn,则8a()7.若数列{an}的前n项和2231nSnn,则它的通项公式是()8.在函数()fxx中,令1,2,3,x可得到一个数列,则这个数列的前5项为()9.已知数列{an}的前n232nSnn,求数列的通项公式。10.在数列{an}中,已知21114,(1,2,3)1nnnaaann,求数列{an}的通项公式。思维拓展1.已知数列{an}的通项公式22019nan,这个数列的前多少项的和最大。2.已知数列{an}的通项公式22018nan,这个数列的前多少项的和最小。3.已知数列{an}的通项公式22021202212nnna,这个数列的那一项最大?4.已知数列{an}中,12nnnaa,且11a,求an。5.数列{an}满足11a,2112112a,(2,3,)3nnnnaaa,求an6.在数列{an}中,10a,且11(3)(2,3,)4nnaan,求na。7.设11a1,0b,且11322(2)nnnaabn求数列,nnab的通项公式。8.在数列{an}中,设11a,x是方程211(22)240nnnnaxaaxa德玛重根,求an。9.数列{an}中,11a,前n项和为nS,且1221(2)nnaSnn,求na。10.已知数列{an}中11a,211141,,nnnnnnaaaaaa求na。基础练习答案1.A由2123naaaan可得,21231(1)naaaan,所以2221231(1)nnnnaaaaan所以35925,416aaA2.D当n=1时1122122136,2,,(3)2aSnaSSaaa,218.a将n=2代入,可以排除A,B,C.3.B4.A即221410nannn或者n=-5(舍弃)5.2(1)3nna6.88711611411568756aSS7.0(1)45(2)nnann,(提示:运用1nnnaSS来求8.1,2,3,2,59.当2n时,1nnnaSS22323(1)291),nnnn即2n时,65nan。11165,aS即当n=1时,1a也适合65nan*65nanN(n)10.当2n时,22221111()()()()11nnnnnnnaaannnn,当n=1时,也符合思维拓展答案1.设22019nan的对应函数为22019yx。○1一次函数22019yx在R上是减函数。○2令01009.5yx。由此可知数列na从1010项开始,各项的值都是负数,所以它的前1009项的和最大。2.前1008项或前1009项和最小。做法同13.设22021202212nnna的对应函数为21(),202120222tytxx有最小值;当20211010.521x时,二次函数220212022txx有最小值;1()2ty在R上是减函数。由上可知,当1010.5x时,Y最大。当n=1010或n=1011时,an最大4.由112,1nnnaaa得21231212,2,2nnnaaaaaa,将n-1个式子相乘得(n1)(n1)22122nnnnaaa5.由11a,2112112a,(2,3,)3nnnnaaa得,11-1-2211111111131===-1=22nnnnnnaaaaaaaa21nan6.11211(3),(3),44nnnnaaaa1121(3))4nnnnaaaa。用累乘法的2131()(n2)44nnnaa,再用叠加法得1*11()(nN)4nna。经验证,n=1也满足通项公式。7.已知两市相加得11,nnnnnnababab的通项为1nnab。同理,111(),3nnnnnnababab的通项为113nnnab,解方程组得到11113131,2323nnnnnnab,经验证,n=1也满足通项公式。8.分解寅时得11(2)(2)0.0,2nnnxaxaax或者12nnaxa方程有重根,122,nnaa整理得112(2)2nnaa,1112112(2),2(2),22nnnnaaaa211a2(2)2a,将n-1个式子相乘得到1111112(2),1,222nnnnaaaa9.n≥2时,由1nnnaSS和已知条件得11221nnnSSSn,即1321nnSSn两边都加n+1得113()nnSnSn,取n=2,3,⋯n,相乘得13nnSn113n1a231nnnnnnSSS经验证,n=1也满足通项公式。10.由递推公式得22112(1)(1)0nnnnaaaa○1用n-1代替下标得22112(1)(1)0nnnnaaaa○2由二式可知,1na和1na是方程222(1)(1)0nnxaxa的两根,由韦达定理得112(1)nnnaaa○3,由○3知112nnnnaaaa,所以1nnaa的通项可用累加法求得,即12+1nnaan,再用叠加法求得2=nna。

1、当您付费下载文档后,您只拥有了使用权限,并不意味着购买了版权,文档只能用于自身使用,不得用于其他商业用途(如 [转卖]进行直接盈利或[编辑后售卖]进行间接盈利)。
2、本站所有内容均由合作方或网友上传,本站不对文档的完整性、权威性及其观点立场正确性做任何保证或承诺!文档内容仅供研究参考,付费前请自行鉴别。
3、如文档内容存在违规,或者侵犯商业秘密、侵犯著作权等,请点击“违规举报”。

碎片内容

数列概念和简单表示方法

您可能关注的文档

确认删除?
VIP
微信客服
  • 扫码咨询
会员Q群
  • 会员专属群点击这里加入QQ群
客服邮箱
回到顶部