电脑桌面
添加小米粒文库到电脑桌面
安装后可以在桌面快捷访问

整式的乘法和因式分解练习题VIP免费

整式的乘法和因式分解练习题_第1页
1/4
整式的乘法和因式分解练习题_第2页
2/4
整式的乘法和因式分解练习题_第3页
3/4
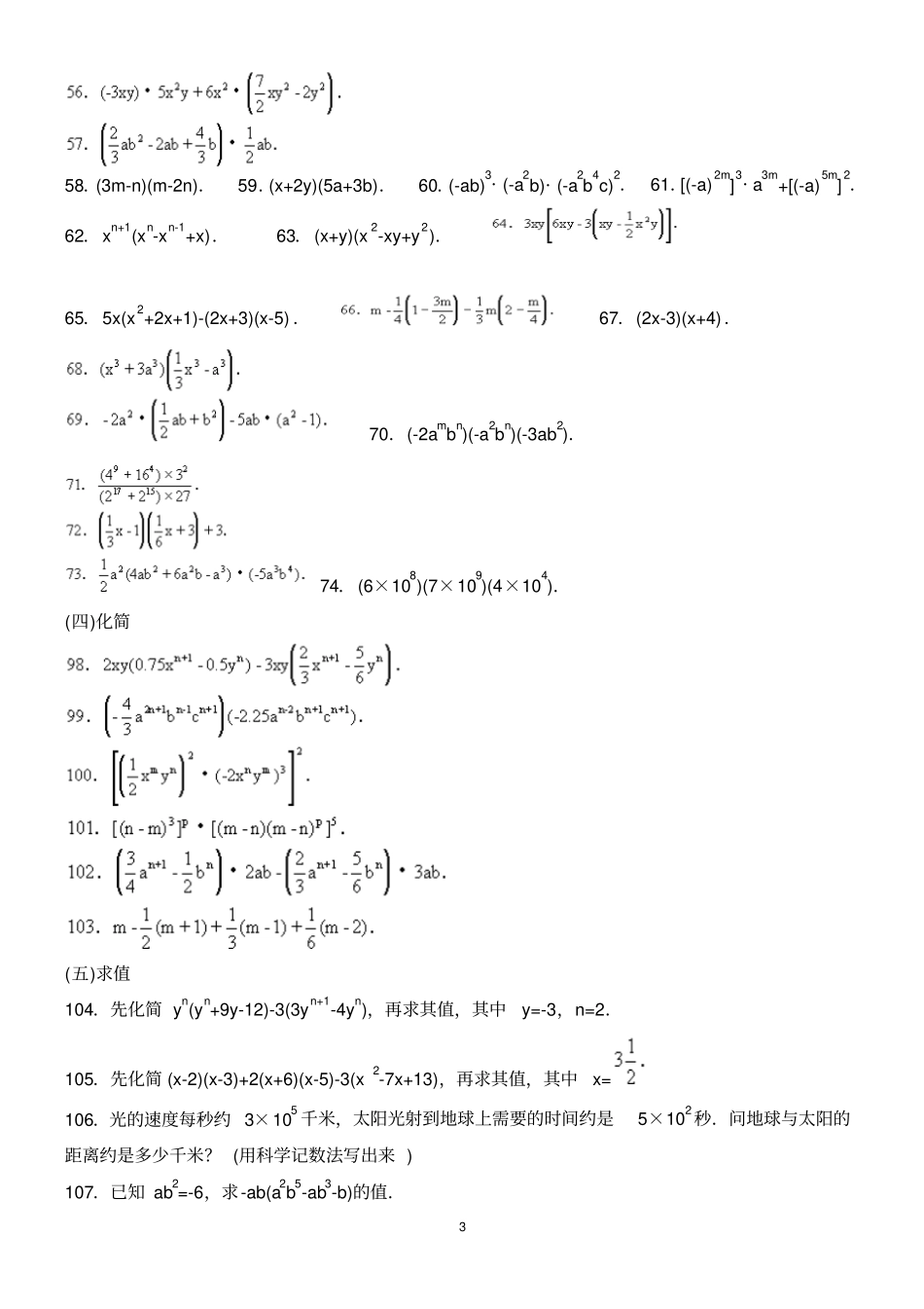
1整式的乘法和因式分解练习题(一)填空1.a8=(-a5)______.2.a15=()5.3.3m2·2m3=______.4.(x+a)(x+a)=______.5.a3·(-a)5·(-3a)2·(-7ab3)=______.6.(-a2b)3·(-ab2)=______.7.(2x)2·x4=()2.8.24a2b3=6a2·______.9.[(am)n]p=______.10.(-mn)2(-m2n)3=______.14.(3x2)3-7x3[x3-x(4x2+1)]=______.15.一长方体的高是(a+2)厘米,底面积是(a2+a-6)厘米2,则它的体积是______.16.3(a-b)2[9(a-b)3](b-a)5=______.17.若a2n-1·a2n+1=a12,则n=______.18.322236129xyyxyx中各项的公因式是__________。19.分解因式xx422____________________。20.分解因式942x____________________。21.分解因式442xx______。22.分解因式49142yxyx=_____________。23.若,),4)(3(2baxxbaxx则。25.22216xa26.10010122__________。27.因式分解x2z2-y2=________________28.因式分解a3-ab2=________________29.因式分解x2-y2+x-y=_________________30.因式分解(a-b)2-4=________________________(二)选择31.下列计算正确的是[]A.9a3·2a2=18a5;B.2x5·3x4=5x9;C.3x3·4x3=12x3;D.3y3·5y3=15y9.32.(ym)3·yn的运算结果是[]B.y3m+n;C.y3(m+n);D.y3mn.33.下列计算错误的是[]A.(x+1)(x+4)=x2+5x+4;B.(m-2)(m+3)=m2+m-6;C.(y+4)(y-5)=y2+9y-20;D.(x-3)(x-6)=x2-9x+18.34.计算-a2b2·(-ab3)2所得的结果是[]A.a4b8;B.-a4b8;C.a4b7;D.-a3b8.35.下列计算中错误的是[]A.[(a+b)2]3=(a+b)6;B.[(x+y)2n]5=(x+y)2n+5;C.[(x+y)m]n=(x+y)mn;D.[(x+y)m+1]n=(x+y)mn+n.36.(-2x3y4)3的值是[]A.-6x6y7;B.-8x27y64;C.-8x9y12;D.-6xy10.37.下列计算中,[](1)b(x-y)=bx-by,(2)b(xy)=bxby,(3)bx-y=bx-by,(4)2164=(64)3,(5)x2n-1y2n-1=xy2n-2.A.只有(1)与(2)正确;B.只有(1)与(3)正确;C.只有(1)与(4)正确;D.只有(2)与(3)正确.38.(-6xny)2·3xn-1y的计算结果是[]A.18x3n-1y2;B.-36x2n-1y3;C.-108x3n-1y;D.108x3n-1y3.39.下列计算正确的是[]A.(6xy2-4x2y)·3xy=18xy2-12x2y;B.(-x)(2x+x2-1)=-x3-2x2+1;2C.(-3x2y)(-2xy+3yz-1)=6x3y2-9x2y2z2-3x2y;40.下列计算正确的是[]A.(a+b)2=a2+b2;B.am·an=amn;C.(-a2)3=(-a3)2;D.(a-b)3(b-a)2=(a-b)5.41.把下列各题的计算结果写成10的幂的形式,正确的是[]A.100×103=106;B.1000×10100=103000;C.1002n×1000=104n+3;D.1005×10=10005=1015.42.t2-(t+1)(t-5)的计算结果正确的是[]A.-4t-5;B.4t+5;C.t2-4t+5;D.t2+4t-5.43.下列各式从左到右的变形,是因式分解的是:()A、xxxxx6)3)(3(692B、103252xxxxC、224168xxxD、2332xxxx44.下列多项式,不能运用平方差公式分解的是()A、42mB、22yxC、122yxD、22amam45.下列各式可以用完全平方公式分解因式的是()A、2242babaB、4142mmC、269yyD、222yxyx46.把多项式apap112分解因式的结果是()A、ppa21B、ppa21C、11papD、11pap47.若2249ykxyx是一个完全平方式,则k的值为()A、6B、±6C、12D、±1248.yxyx22是下列哪个多项式分解的结果()A、224yxB、224yxC、224yxD、224yx49.若22,1,3baabba则()A、-11B、11C、-7D、750.kxxx5223中,有一个因式为2x,则k值为()A、2B、-2C、6D、-651.已知yxyxyx则,0106222()A、2B、-2C、4D、-452.若三角形的三边长分别为a、b、c,满足03222bcbcaba,则这个三角形是()A、等腰三角形B、直角三角形C、等边三角形D、三角形的形状不确定(三)计算53.(-5xn+1y)·(-2x).54.(-3ab)·(-a2c)·6ab2.55.(-4a)·(2a2+3a-1).358.(3m-n)(m-2n).59.(x+2y)(5a+3b).60.(-ab)3·(-a2b)·(-a2b4c)2.61.[(-a)2m]3·a3m+[(-a)5m]2.62.xn+1(xn-xn-1+x).63.(x+y)(x2-xy+y2).65.5x(x2+2x+1)-(2x+3)(x-5).67.(2x-3)(x+4).70.(-2ambn)(-a2bn)(-3ab2).74.(6×108)(7×109)(4×104).(四)化简(五)求值104.先化简yn(yn+9y-12)-3(3yn+1-4yn),再求其值,其中y=-3,n=2.105.先化简(x-2)(x-3)+2(x+6)(x-5)-3(x2-7x+13),再求其值,其中x=106....

1、当您付费下载文档后,您只拥有了使用权限,并不意味着购买了版权,文档只能用于自身使用,不得用于其他商业用途(如 [转卖]进行直接盈利或[编辑后售卖]进行间接盈利)。
2、本站所有内容均由合作方或网友上传,本站不对文档的完整性、权威性及其观点立场正确性做任何保证或承诺!文档内容仅供研究参考,付费前请自行鉴别。
3、如文档内容存在违规,或者侵犯商业秘密、侵犯著作权等,请点击“违规举报”。

碎片内容

整式的乘法和因式分解练习题

爱的疯狂+ 关注
实名认证
内容提供者

该用户很懒,什么也没介绍

相关文档

确认删除?
VIP
微信客服
  • 扫码咨询
会员Q群
  • 会员专属群点击这里加入QQ群
客服邮箱
回到顶部