电脑桌面
添加小米粒文库到电脑桌面
安装后可以在桌面快捷访问

有理数的运算121道题(2014国庆)VIP免费

有理数的运算121道题(2014国庆)_第1页
1/6
有理数的运算121道题(2014国庆)_第2页
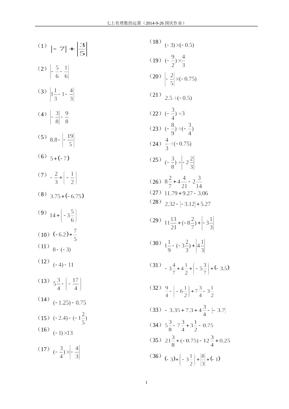
2/6
有理数的运算121道题(2014国庆)_第3页
3/6
七上有理数的运算(2014-9-26国庆作业)(1)(2)(3)(4)(5)(6)(7)(8)(9)(10)(11)(12)(13)(14)(15)(16)(17)(18)(19)(20)(21)(22)(23)(24)(25)(26)(27)(28)(29)(30)(31)(32)(33)(34)(35)(36)1七上有理数的运算(2014-9-26国庆作业)(37)(+9)+(-7)+(+10)+(-3)+(-9)(38)(39)(40)(41)(42)(-36)-(-25)-(+36)(43)(44)(45)(46)(47)(48)(49)(50)(51)(52)(53)(54)(55)(56)(57)(58)(59)(60)(61)(62)(63)(64)(65)(66)(67)(68)(69)(70)(71)(72)(73)(74)(75)(76)(77)(78)2七上有理数的运算(2014-9-26国庆作业)(79)(80)(81)(82)(83)(84)(85)(86)(87)(88)(89)(90)(91)(92)(93)(94)(95)(96)0-[-3](97)―(98)(99)(+1)+(-2)+(+3)+(-4)+…+(+2003)+(-2004)(100)(101)(102)小红和小明在游戏中规定:长方形表示加,圆形表示减,结果小的人获胜。列式计算,小明和小红谁为胜者?小明:小红:(103)某班抽查了10名同学的期末成绩,以80分为基准,超出的记为正数,不足的记为负数,记录的结果如下+8,-3,+12,-7,-10,-3,-8,+1,0,+10。(1)这10名同学中最高分是多少?最低分是多少?(2)10名同学的平均成绩是多少?(104)在一条东西走向的马路旁,有青少年宫、党校、商场、医院四家公共场所。已知青少年宫在学校东300m处,商场在学校西200m处,医院在学校东500m处,若将马路近似地看作一条直线,以学校为原点,向东为正方向,用1个单位长度表示100m。(1)在数轴上表示四家公共场所的位置。(2)列式计算青少年宫与商场之间的距离。(105)某一出租车一天下午以西站为出发地在东西方向营运,向东为正,向西为负,行车里程(单位:km)依先后次序记录如下:+9、—3、—5、+4、—8、+6、—3、—6、—4、+10。①将最后一名乘客送到目的地,出租车离西站出发点多远?在西站的什么方向?33.24.51.41.1—8—72—6七上有理数的运算(2014-9-26国庆作业)②若每千米的价格为2.4元,司机一个下午的营业额是多少?(106)某食品厂从生产的袋装食品中抽出样品20袋,检测每袋的质量是否符合标准,超过或不足的部分分别用正、负数来表示,记录如下表:与标准质量的差值(单位:g)—5—20136袋数143453这批样品的平均质量比标准质量多还是少?多或少几克?若每袋标准质量为450克,则抽样检测的总质量是多少?(107)一天,甲乙两人利用温差测量山峰的高度,甲在山顶测得温度是-1ºC,乙此时在山脚测得温度是5ºC,已知该地区每增加100米,气温大约降低0.6ºC,这个山峰的高度大约是多少米?(108)把下列各数填入相应的集合内:,3.1416,0,2004,-,-0.23456,10%,10.l,0.67,-89,正数集合负数集合整数集合分数集合(109)画一条数轴,并把下列各数表示在数轴上:,-3,0.5,0,-4.5,4,3(110)-5.8是的相反数,的相反数是-(+3),a的相反数是,a-b的相反数是,0的相反数是.(111)正数的相反数是,负数的相反数是,的相反数是它本身.(112)绝对值等于4的数有个,它们是.(113)绝对值等于-3的数有个.(114)绝对值等于本身的数有个,它们是.(115)若│a│=2,则a=.(116)绝对值不大于2的整数是.(117)绝对值最小的数是,最大的负整数是,最小的正整数是.(118)用“〉”、“=”、“〈”填空①-7-5②-0.1-0.01③-│-3.2│-(-3.2)④-│-3.30│-3.34⑤-1-3⑥-(-1)0.025(119)若│x│+x=0,则x一定是()A.负数B.0C.非正数D.非负数(120)和为0的两数互为,乘积为1的两数互为,乘积为-1的两数互为.(121)数轴上A点表示-4,B、C两点所表示的数是互为相反数,且C到A的距离为2,点B和点C各对应什么数?a0A答案:(14)-2(15)-1(16)-13(17)-1(18)1.5(19)-6(21)-5(27)18(28)4.47(31)-8(32)13(33)5(37)04…………七上有理数的运算(2014-9-26国庆作业)(42)-47(46)-7(47)-8(48)5.5(49)-13(50)-32.68(...

1、当您付费下载文档后,您只拥有了使用权限,并不意味着购买了版权,文档只能用于自身使用,不得用于其他商业用途(如 [转卖]进行直接盈利或[编辑后售卖]进行间接盈利)。
2、本站所有内容均由合作方或网友上传,本站不对文档的完整性、权威性及其观点立场正确性做任何保证或承诺!文档内容仅供研究参考,付费前请自行鉴别。
3、如文档内容存在违规,或者侵犯商业秘密、侵犯著作权等,请点击“违规举报”。

碎片内容

有理数的运算121道题(2014国庆)

您可能关注的文档

百万精品文档+ 关注
实名认证
内容提供者

中小学学习资料教案课件

确认删除?
VIP
微信客服
  • 扫码咨询
会员Q群
  • 会员专属群点击这里加入QQ群
客服邮箱
回到顶部