电脑桌面
添加小米粒文库到电脑桌面
安装后可以在桌面快捷访问

章二次根式测试VIP免费

章二次根式测试_第1页
1/2
章二次根式测试_第2页
2/2
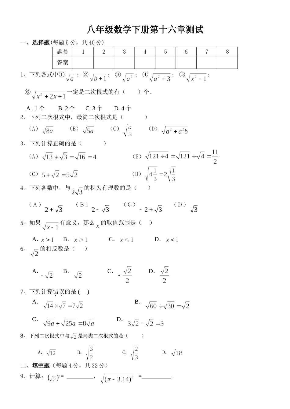
八年级数学下册第十六章测试一、选择题(每题5分,共40分)题号12345678答案1、下列各式中①;②;③;④;⑤;⑥一定是二次根式的有()个。A.1个B.2个C.3个D.4个2、下列二次根式中,最简二次根式是()(A)(B)(C)(D)3、下列计算正确的是()(A)(B)(C)(D)4、下列各数中,与23的积为有理数的是()(A)32(B)32(C)32(D)35、如果有意义,那么的取值范围是()A.B.C.D.6、的相反数是()A.B.C.D.7、下列计算错误的是()A.B.C.D.8、下列二次根式中与是同类二次根式的是()A.B.C.D.二、填空题(每题4分,共32分)9、计算:=,=。10、使代数式有意义的的取值范围是:.11、化简:=.12、若与的被开方数相同,则a=。13、24n是整数,则正整数n的最小值是。14、已知,则代数式的值是。15、若,则m-n的值为。16、比较大小:(1)32(2)三、解答题16、计算(每题7分,共28分)①②③④

1、当您付费下载文档后,您只拥有了使用权限,并不意味着购买了版权,文档只能用于自身使用,不得用于其他商业用途(如 [转卖]进行直接盈利或[编辑后售卖]进行间接盈利)。
2、本站所有内容均由合作方或网友上传,本站不对文档的完整性、权威性及其观点立场正确性做任何保证或承诺!文档内容仅供研究参考,付费前请自行鉴别。
3、如文档内容存在违规,或者侵犯商业秘密、侵犯著作权等,请点击“违规举报”。

碎片内容

章二次根式测试

您可能关注的文档

精品文库+ 关注
实名认证
内容提供者

中小学课件教案小学资料大全

相关文档

确认删除?
VIP
微信客服
  • 扫码咨询
会员Q群
  • 会员专属群点击这里加入QQ群
客服邮箱
回到顶部