电脑桌面
添加小米粒文库到电脑桌面
安装后可以在桌面快捷访问

七年级解方程计算题VIP专享VIP免费

七年级解方程计算题_第1页
1/1
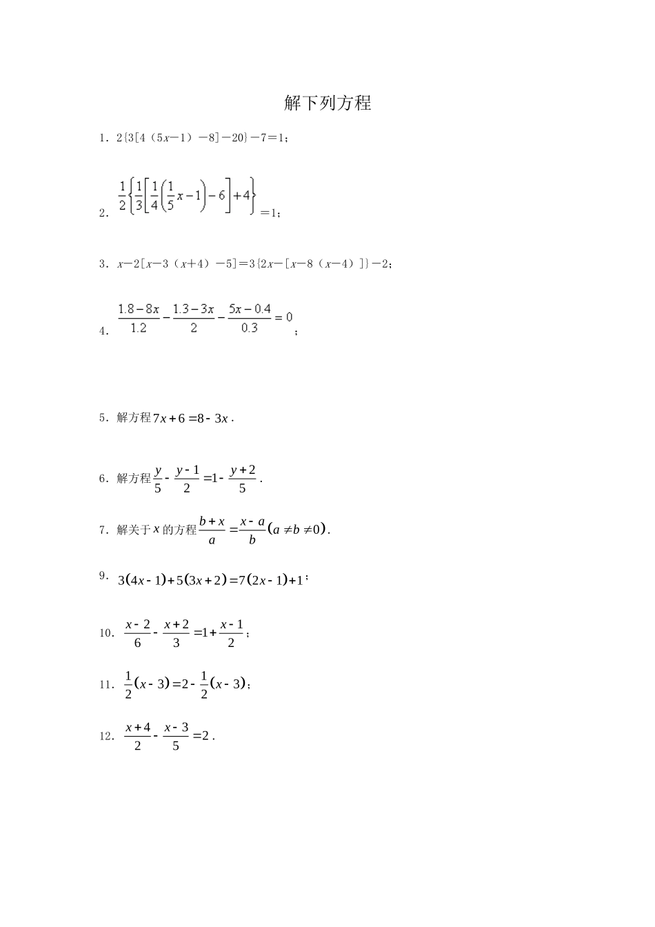
解下列方程1.2{3[4(5x-1)-8]-20}-7=1;2.=1;3.x-2[x-3(x+4)-5]=3{2x-[x-8(x-4)]}-2;4.;5.解方程7683xx.6.解方程121525yyy.7.解关于x的方程0bxxaabab.9.3415327211xxx;10.2211632xxx;11.1132322xx;12.43225xx.

1、当您付费下载文档后,您只拥有了使用权限,并不意味着购买了版权,文档只能用于自身使用,不得用于其他商业用途(如 [转卖]进行直接盈利或[编辑后售卖]进行间接盈利)。
2、本站所有内容均由合作方或网友上传,本站不对文档的完整性、权威性及其观点立场正确性做任何保证或承诺!文档内容仅供研究参考,付费前请自行鉴别。
3、如文档内容存在违规,或者侵犯商业秘密、侵犯著作权等,请点击“违规举报”。

碎片内容

七年级解方程计算题

您可能关注的文档

确认删除?
VIP
微信客服
  • 扫码咨询
会员Q群
  • 会员专属群点击这里加入QQ群
客服邮箱
回到顶部