电脑桌面
添加小米粒文库到电脑桌面
安装后可以在桌面快捷访问

高考数学 常用的解题技巧 第03讲 因式分解法-人教版高三全册数学试题VIP免费

高考数学 常用的解题技巧 第03讲 因式分解法-人教版高三全册数学试题_第1页
1/2
高考数学 常用的解题技巧 第03讲 因式分解法-人教版高三全册数学试题_第2页
2/2
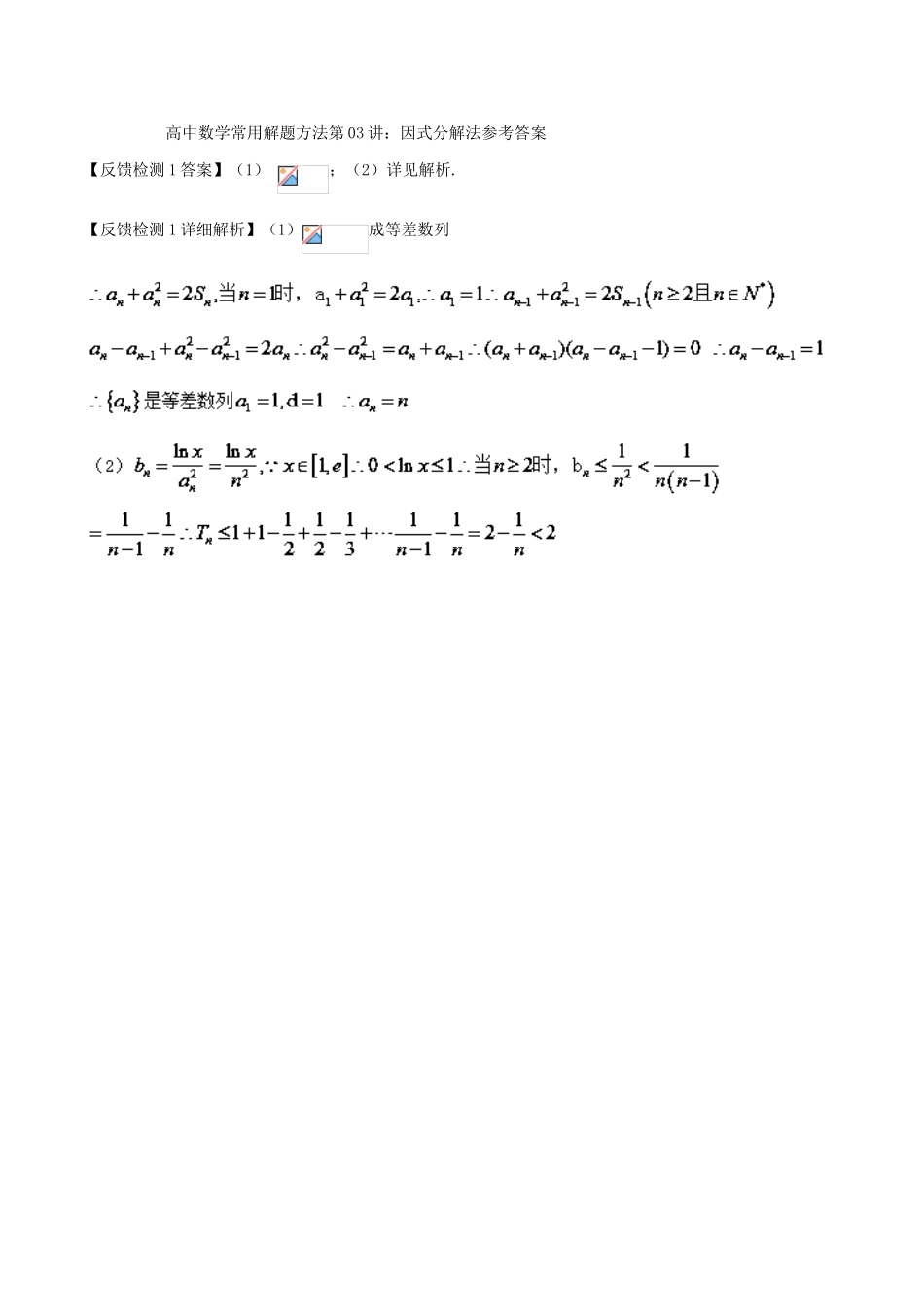
第03讲:因式分解法【知识要点】一、因式分解在高中数学的计算中,经常用到.因式分解常用的方法有提取公因式法、公式法(平方差、完全平方和、完全平方差、立方和、立方差、和的立方、差的立方)、分组分解法、十字相乘法(重、难点)、求根公式法.二、因式分解的方法用口诀记为:一提二套三分组四相乘五求根,最后一定要牢记,因式分解要彻底.【方法讲评】【例1】解方程如果是,就写成.【反馈检测1】数列的各项均为正数,为其前n项和,对于任意的,总有成等差数列,(1)求数列的通项公式;(2)设数列前n项和为,且,求证对任意的实数和任意的正整数n,总有.高中数学常用解题方法第03讲:因式分解法参考答案【反馈检测1答案】(1);(2)详见解析.【反馈检测1详细解析】(1)成等差数列

1、当您付费下载文档后,您只拥有了使用权限,并不意味着购买了版权,文档只能用于自身使用,不得用于其他商业用途(如 [转卖]进行直接盈利或[编辑后售卖]进行间接盈利)。
2、本站所有内容均由合作方或网友上传,本站不对文档的完整性、权威性及其观点立场正确性做任何保证或承诺!文档内容仅供研究参考,付费前请自行鉴别。
3、如文档内容存在违规,或者侵犯商业秘密、侵犯著作权等,请点击“违规举报”。

碎片内容

高考数学 常用的解题技巧 第03讲 因式分解法-人教版高三全册数学试题

您可能关注的文档

海博书城+ 关注
实名认证
内容提供者

从事历史教学,热爱教育,高度负责。

确认删除?
VIP
微信客服
  • 扫码咨询
会员Q群
  • 会员专属群点击这里加入QQ群
客服邮箱
回到顶部