电脑桌面
添加小米粒文库到电脑桌面
安装后可以在桌面快捷访问

高考数学一轮复习 第七章 数列 第45课 数列综合应用 文(含解析)-人教版高三全册数学试题VIP免费

高考数学一轮复习 第七章 数列 第45课 数列综合应用 文(含解析)-人教版高三全册数学试题_第1页
1/6
高考数学一轮复习 第七章 数列 第45课 数列综合应用 文(含解析)-人教版高三全册数学试题_第2页
2/6
高考数学一轮复习 第七章 数列 第45课 数列综合应用 文(含解析)-人教版高三全册数学试题_第3页
3/6
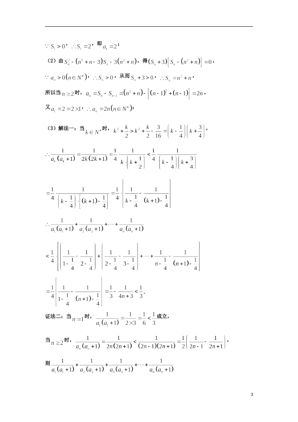
第45课数列综合应用1.(2008年高考)记等差数列的前项和为,若,则该数列的公差()A.2B.3C.6D.7【答案】B【解析】,选B.2.已知数列)0,(nnaNna,则“21nnnaaa”是“na是等比数列”的()A.充要条件B.必要不充分条件C.充分不必要条件D.以上都不是3.(2010年高考)已知数列为等比数列,是它的前项和.若且与的等差中项为,则A.35B.33C.31D.29【答案】C二、填空题:4.已知数列的前项和,则其通项公式为5.(2011年高考)已知是递增等比数列,,则此数列的公比.【答案】2【解析】∵,∴或(舍去).6.已知等比数列na中,各项都是正数,且1321,,22aaa成等差数列,则公比q__________7.(2013年高考)设数列是首项为,公比为的等比数列,则________.【答案】【解析】依题意,∴.8.(2014年高考)等比数列的各项均为正数,且,则.【答案】.1【解析】试题分析:由题意知,且数列的各项均为正数,所以,,.考点:本题考查等比数列的基本性质与对数的基本运算,属于中等偏难题.三.解答题10.(2014年重庆)已知是首项为1,公差为2的等差数列,表示的前项和.(1)求及;(2)设是首项为2的等比数列,公比满足,求的通项公式及其前项和.解:(1)因为{an}是首项a1=1,公差d=2的等差数列,所以an=a1+(n-1)d=2n-1.故Sn=1+3+…+(2n-1)===n2.(2)由(1)得a4=7,S4=16.因为q2-(a4+1)q+S4=0,即q2-8q+16=0,所以(q-4)2=0,从而q=4.又因为b1=2,{bn}是公比q=4的等比数列,所以bn=b1qn-1=2×4n-1=22n-1.从而{bn}的前n项和Tn==(4n-1).11.(由2014年高考)设各项均为正数的数列的前项和为,且满足,.(1)求的值;(2)求数列的通项公式;(3)证明:对一切正整数,有【答案】(1);(2);.【解析】(1)令得:,即,,2,,即;(2)由,得,,,从而,,所以当时,,又,;(3)解法一:当时,,.证法二:当时,成立,当时,,则3.12.已知函数(为常数且)满足,有唯一解。(1)求的表达式;(2)记,且,求数列的通项公式。(3)记,求数列的前n项和为解析:(1)∵xxf)(有唯一解,∴,即有两个相等实根,即由,,得,所以所以的表达式(2),,即,所以数列是等差数列,其中首项,公差为,即(3)…………①…………②4由①-②,得从而,数列的前项和为12.(2012年广东)设数列的前项和为,数列的前项和为,满足.(1)求的值;(2)求:用表示的表达式(3)求数列的通项公式.【解析】(1)当时,,∵,∴,∴,(2)当时,,∵当时,∴,∴,∴数列是以为首项,为公比的等比数列,∴,∴,∵,∴,.14.(2013年高考)设各项均为正数的数列的前项和为,满足,,且、、构成等比数列.(1)证明:;(2)求数列的通项公式;(3)证明:对一切正整数,有.【解析】(1)在中令,可得,而,∴.(2)由可得().5两式相减,可得,即,∵,∴,于是数列把第1项去掉后,是公差为2的等差数列.由、、成等比数列可得,即,解得,由可得,于是,∴数列是首项为1,公差为2的等差数列,∴.(3)∵,∴.6

1、当您付费下载文档后,您只拥有了使用权限,并不意味着购买了版权,文档只能用于自身使用,不得用于其他商业用途(如 [转卖]进行直接盈利或[编辑后售卖]进行间接盈利)。
2、本站所有内容均由合作方或网友上传,本站不对文档的完整性、权威性及其观点立场正确性做任何保证或承诺!文档内容仅供研究参考,付费前请自行鉴别。
3、如文档内容存在违规,或者侵犯商业秘密、侵犯著作权等,请点击“违规举报”。

碎片内容

高考数学一轮复习 第七章 数列 第45课 数列综合应用 文(含解析)-人教版高三全册数学试题

您可能关注的文档

确认删除?
VIP
微信客服
  • 扫码咨询
会员Q群
  • 会员专属群点击这里加入QQ群
客服邮箱
回到顶部