电脑桌面
添加小米粒文库到电脑桌面
安装后可以在桌面快捷访问

高考数学二轮复习 压轴大题高分练(四)解析几何(D组)-人教版高三全册数学试题VIP免费

高考数学二轮复习 压轴大题高分练(四)解析几何(D组)-人教版高三全册数学试题_第1页
1/5
高考数学二轮复习 压轴大题高分练(四)解析几何(D组)-人教版高三全册数学试题_第2页
2/5
高考数学二轮复习 压轴大题高分练(四)解析几何(D组)-人教版高三全册数学试题_第3页
3/5
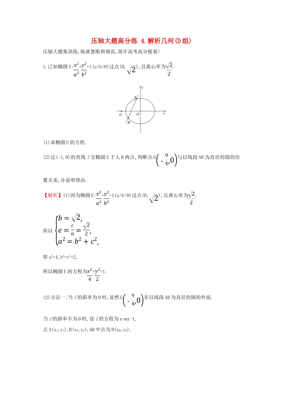
压轴大题高分练4.解析几何(D组)压轴大题集训练,练就慧眼和规范,筑牢高考高分根基!1.已知椭圆E:+=1(a>b>0)过点(0,),且离心率为.(1)求椭圆E的方程.(2)过(-1,0)的直线l交椭圆E于A,B两点,判断点G与以线段AB为直径的圆的位置关系,并说明理由.【解析】(1)因为椭圆E:+=1(a>b>0)过点(0,),且离心率为.所以即a2=4,b2=c2=2,所以椭圆E的方程为+=1.(2)方法一:当l的斜率为0时,显然G在以线段AB为直径的圆的外面,当l的斜率不为0时,设l的方程为x=my-1,点A(x1,y1),B(x2,y2),AB中点为H(x0,y0).由得(m2+2)y2-2my-3=0,所以y1+y2=,y1y2=,从而y0=×=.所以|GH|2=+=+=(m2+1)+my0+.====(m2+1)(-y1y2),故|GH|2-=my0+(m2+1)y1y2+=-+=>0,所以|GH|>,故G在以AB为直径的圆外.方法二:当l的斜率为0时,显然G在以线段AB为直径的圆的外面,当l的斜率不为0时,设l的方程为x=my-1,设点A(x1,y1),B(x2,y2),则=,=,由得(m2+2)y2-2my-3=0,所以y1+y2=,y1y2=,所以·=+y1y2=+y1y2=(m2+1)y1y2+m(y1+y2)+=>0,所以cos<,>>0,又因为,不共线,所以∠AGB为锐角,故点G在以AB为直径的圆外.2.椭圆+=1(a>b>0)的左、右焦点分别为F1(-1,0),F2(1,0),过F2的直线l与椭圆交于A,B两点,当l的倾斜角为时,△F1AB是等边三角形.(1)求椭圆的方程.(2)若|F2A|=λ|F2B|,1≤λ≤2,求△ABF1中AB边上中线长的取值范围.【解析】(1)由已知得:c=1,a2-b2=1,2c=×,所以2a=b2,a2-2a-=0,解得a=,b=,椭圆的方程为+=1.(2)①当直线l的斜率为0时,不符合题意.②当直线l的斜率不为0时,设直线l:x=my+1,A(x1,y1),B(x2,y2),联立得(2m2+3)y2+4my-4=0,则y1+y2=,y1·y2=.△ABF1中AB边上的中线长为|+|=====令t=2m2+3,则2m2=t-3,得|+|===,由|F2A|=λ|F2B|,得y1=-λy2,-λ=,-λ-+2=++2==.因为1≤λ≤2,λ+-2==∈,所以3≤t≤4,≤≤,|+|∈.△ABF1中AB边上中线长的取值范围是.

1、当您付费下载文档后,您只拥有了使用权限,并不意味着购买了版权,文档只能用于自身使用,不得用于其他商业用途(如 [转卖]进行直接盈利或[编辑后售卖]进行间接盈利)。
2、本站所有内容均由合作方或网友上传,本站不对文档的完整性、权威性及其观点立场正确性做任何保证或承诺!文档内容仅供研究参考,付费前请自行鉴别。
3、如文档内容存在违规,或者侵犯商业秘密、侵犯著作权等,请点击“违规举报”。

碎片内容

高考数学二轮复习 压轴大题高分练(四)解析几何(D组)-人教版高三全册数学试题

您可能关注的文档

海博书城+ 关注
实名认证
内容提供者

从事历史教学,热爱教育,高度负责。

确认删除?
VIP
微信客服
  • 扫码咨询
会员Q群
  • 会员专属群点击这里加入QQ群
客服邮箱
回到顶部