电脑桌面
添加小米粒文库到电脑桌面
安装后可以在桌面快捷访问

高考数学 考点20 圆锥曲线的综合问题练习-人教版高三全册数学试题VIP免费

高考数学 考点20 圆锥曲线的综合问题练习-人教版高三全册数学试题_第1页
1/8
高考数学 考点20 圆锥曲线的综合问题练习-人教版高三全册数学试题_第2页
2/8
高考数学 考点20 圆锥曲线的综合问题练习-人教版高三全册数学试题_第3页
3/8
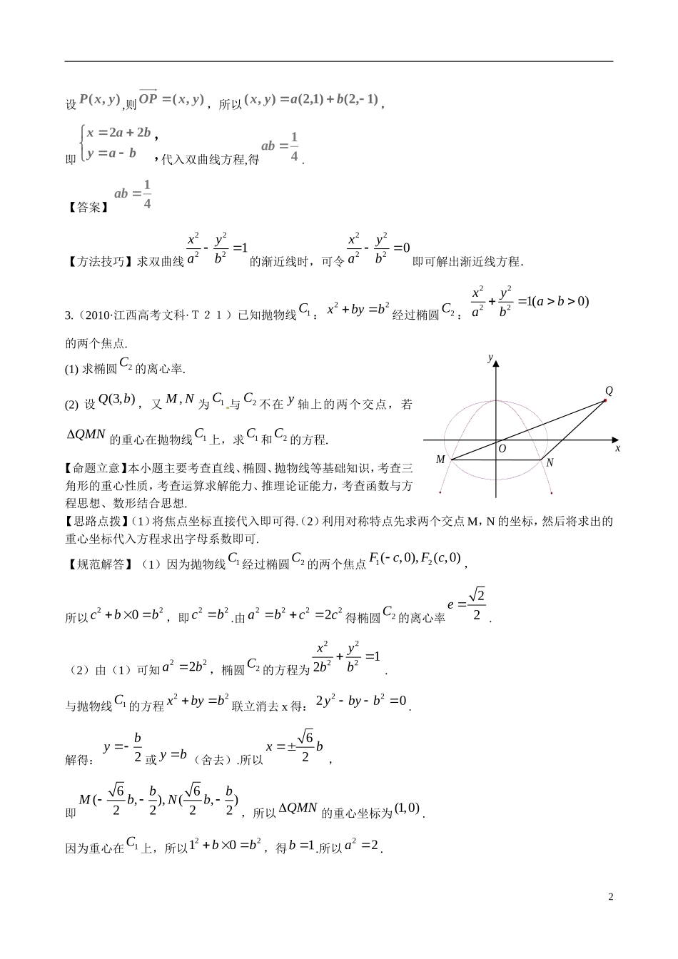
考点20圆锥曲线的综合问题1.(2010·上海高考文科·T13)在平面直角坐标系中,双曲线的中心在原点,它的一个焦点坐标为(5,0),1(2,1)e,2(2,1)e分别是两条渐近线的方向向量.任取双曲线上的点P,若21ebeaOP(a,bR),则a,b满足的一个等式是.【命题立意】本题考查双曲线性质与向量的有关知识,属中档题.【思路点拨】先设出双曲线的方程,再由渐近线的方向向量及焦点坐标求出实半轴长和虚半轴长,得到双曲线方程.由向量相等,建立P点横纵坐标与a,b的关系,将P点坐标代入双曲线方程就能找到a,b满足的等式.【规范解答】可设双曲线方程为)0,0(12222nmnymx,因为1(2,1)e,2(2,1)e分别是两条渐近线的方向向量,所以21mn①.又由已知可得双曲线中c=5,所以522nm②.由①②可得12nm,,所以双曲线方程为1422yx.设P(x,y),则)1,2()1,2(),(bayx,所以代入双曲线方程,得41ab.【答案】41ab2.(2010·上海高考理科·T13)如图所示,直线x=2与双曲线:1422yx的渐近线交于1E,2E两点,记1122,OEeOEe��,任取双曲线上的点P,若12OPaebe(a,bR)�∈,则a,b满足的一个等式是.【命题立意】本题考查双曲线的性质与向量的有关知识.【思路点拨】先求出双曲线的渐近线方程,再确定1E,2E的坐标,由向量相等,建立P点横纵坐标与a,b的关系,将P点坐标代入双曲线方程就能找到a,b满足的等式.【规范解答】易得)1,2(),1,2(21EE,所以)1,2(),1,2(2211OEeOEe.1设),(yxP,则),(yxOP,所以)1,2()1,2(),(bayx,即baybax22,,代入双曲线方程,得41ab.【答案】41ab【方法技巧】求双曲线22221xyab的渐近线时,可令22220xyab即可解出渐近线方程.3.(2010·江西高考文科·T21)已知抛物线1C:22xbyb经过椭圆2C:22221(0)xyabab的两个焦点.(1)求椭圆2C的离心率.(2)设(3,)Qb,又,MN为1C与2C不在y轴上的两个交点,若QMN的重心在抛物线1C上,求1C和2C的方程.【命题立意】本小题主要考查直线、椭圆、抛物线等基础知识,考查三角形的重心性质,考查运算求解能力、推理论证能力,考查函数与方程思想、数形结合思想.【思路点拨】(1)将焦点坐标直接代入即可得.(2)利用对称特点先求两个交点M,N的坐标,然后将求出的重心坐标代入方程求出字母系数即可.【规范解答】(1)因为抛物线1C经过椭圆2C的两个焦点12(,0),(,0)FcFc,所以220cbb,即22cb.由22222abcc得椭圆2C的离心率22e.(2)由(1)可知222ab,椭圆2C的方程为222212xybb.与抛物线1C的方程22xbyb联立消去x得:2220ybyb.解得:2by或yb(舍去).所以62xb,即66(,),(,)2222bbMbNb,所以QMN的重心坐标为(1,0).因为重心在1C上,所以2210bb,得1b.所以22a.2NxQMOy所以抛物线1C的方程为21xy,椭圆2C的方程为2212xy.4.(2010·江西高考理科·T21)设椭圆22122:1(0)xyCabab,抛物线222:Cxbyb.(1)若2C经过1C的两个焦点,求1C的离心率.(2)设5(0,),(33,)4AbQb,又M,N为1C与2C不在y轴上的两个交点,若AMN的垂心为3(0,)4Bb,且QMN的重心在2C上,求椭圆1C和抛物线2C的方程.【命题立意】本小题主要考查直线、椭圆、抛物线等基础知识,考查综合运用解析几何知识解决问题的能力,体现了函数与方程思想及数形结合思想.【思路点拨】(1)将焦点坐标直接代入即可得.(2)利用对称特点先求两个交点M,N的坐标,然后将求出的重心坐标代入方程求出字母系数即可.【规范解答】(1)因为抛物线2C经过椭圆1C的两个焦点1(,0)Fc,2(,0)Fc,可得22cb.由22222abcc,有2212ca,所以椭圆1C的离心率22e.(2)由题设可知M,N关于y轴对称,设11111(,),(,),(0)MxyNxyxx1>0,则由AMN的垂心为B,有0BMAN�,所以21113()()04xybyb①.由于点11(,)Nxy在2C上,故有2211xbyb②.由①②得,41by或by1(舍去),所以,251bx故),4,25(),4,25(bbNbbM所以QMN的重心为b34(,).因重心在2C上,可...

1、当您付费下载文档后,您只拥有了使用权限,并不意味着购买了版权,文档只能用于自身使用,不得用于其他商业用途(如 [转卖]进行直接盈利或[编辑后售卖]进行间接盈利)。
2、本站所有内容均由合作方或网友上传,本站不对文档的完整性、权威性及其观点立场正确性做任何保证或承诺!文档内容仅供研究参考,付费前请自行鉴别。
3、如文档内容存在违规,或者侵犯商业秘密、侵犯著作权等,请点击“违规举报”。

碎片内容

高考数学 考点20 圆锥曲线的综合问题练习-人教版高三全册数学试题

您可能关注的文档

确认删除?
VIP
微信客服
  • 扫码咨询
会员Q群
  • 会员专属群点击这里加入QQ群
客服邮箱
回到顶部