电脑桌面
添加小米粒文库到电脑桌面
安装后可以在桌面快捷访问

解析几何(5)VIP专享VIP免费

解析几何(5)_第1页
1/21
解析几何(5)_第2页
2/21
解析几何(5)_第3页
3/21
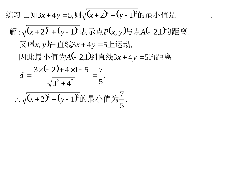
解析几何一、直线与圆.,,,,20,422:,422:212221的方程求当四边形的面积最小时形与坐标轴围成一个四边两直线时当直线例llaayaxlayaxl.0188,064,,,,21.41521422212221.,0,2,2,0,,,2,2,.2,2,222.2,2,2221:212222212122211yxyxllSaaaaaaSSSSaBaABxlAylOPPlllxyallxaylPBOPAO的方程为此时取最小值时则设四边形的面积为则轴相交于点与直线轴相交于点与设直线连结相交于即直线经过点直线的方程化为将直线经过点直线的方程化为将直线解.12,54322的最小值是则已知练习yxyx.5712.5743514235431,2,543,.1,2,12:222222的最小值为的距离到直线因此最小值为上运动在直线又的距离与点表示点解yxdyxAyxyxPAyxPyx.?3;2;1.,2,2请证明你的结论无关其坐标与是否经过某定点问圆的方程求圆的取值范围求实数为经过这三个交点的圆记与两坐标轴有三个交点的图象设二次函数中例在平面直角坐标系bCCbCRxbxxxfxoy.01,00,02,0.,0,01:2bbbbxxxfbyx且解得且由题意得令轴的交点是得抛物线与令解.012.1,,0,0.,2,02,0,0,022222222bybxyxCbEbbEyyxbFDbxxFDxxyFEyDxyx的方程为所以圆代入得出此方程有一个根为令故是同一个方程这与得令设所求圆的一般方程为.1,2.1,0.0,010210,1,0:,1,21,0322必过定点同理可证圆必过定点所以圆右边得左边的方程代入圆将证明如下和必过定点圆CCbbCC.,;,,,,,03206,22说明理由若不存在的值求出存在若为直径的圆恰好过原点使以问是否存在常数两点交于与直线圆为坐标原点练习已知cPQcQPyxcyxyxO.,3.3.3,.0342,1,0323,21,.03621,0326,:222222为直径的圆恰好过原点使以即存在常数满足题设条件经检验此圆过原点又此时圆的方程为上在直线圆心为圆直径整理得的圆方程为设过解PQccccyxyxyxPQcyxyxyxcyxyxQP不能确定在圆上在圆内在圆外的位置关系是与圆则相离与圆处的切线的图象在若函数....,,1:01.122DCBACbaPyxClxebxfax.,.1,11,1:,1.1,0,,,0,100:222222在圆内点到圆心的距离小于半径即点相离与圆直线又的方程为直线且过点的斜率为则直线为的斜率则直线得由得由解PPbabayxClbyaxlbbalbalbafebaxfbfxax41,.0,41.41,0.41,.,,0220142.222DCBAabRbabyaxyxyx的取值范围是则对称关于直线圆.4141211,1,0222,,,022.2,1:2bbbabbabaRbabyax即直线过圆心对称圆关于直线由已知圆心坐标为解.,3,,1:0.322OBOAABBAyxOcbyax则且两点相交于与圆已知直线.21,12,3,3,1,1,,,,:21212121221221222221212211yyxxOBOAyyxxyyxxAByxyxyxByxA即又则设解二、椭圆、双曲线、抛物线.,320,,3;2:,,2;1.,1,21212112222求此椭圆的方程的面积是若垂直的直线交椭圆于且与过证明是椭圆上的任一点是椭圆的左焦点求椭圆的离心率平行的连线与椭圆长轴和短轴端点为坐标原点且垂直轴与的连线与椭圆右焦点上的点椭圆如图所示例QPFQPABFCFFCFABOOMxMFFMbyax.22,2,,,,,01:12222222acecacbabacbabkacbkabcMbabyaxABOM则设椭圆方程为解二、椭圆、双曲线、抛物线.2,012212cos,2.1222442cos,2::2212222212221212122121222122122212121...

1、当您付费下载文档后,您只拥有了使用权限,并不意味着购买了版权,文档只能用于自身使用,不得用于其他商业用途(如 [转卖]进行直接盈利或[编辑后售卖]进行间接盈利)。
2、本站所有内容均由合作方或网友上传,本站不对文档的完整性、权威性及其观点立场正确性做任何保证或承诺!文档内容仅供研究参考,付费前请自行鉴别。
3、如文档内容存在违规,或者侵犯商业秘密、侵犯著作权等,请点击“违规举报”。

碎片内容

确认删除?
VIP
微信客服
  • 扫码咨询
会员Q群
  • 会员专属群点击这里加入QQ群
客服邮箱
回到顶部