电脑桌面
添加小米粒文库到电脑桌面
安装后可以在桌面快捷访问

分数指数幂6VIP免费

分数指数幂6_第1页
1/4
分数指数幂6_第2页
2/4
分数指数幂6_第3页
3/4
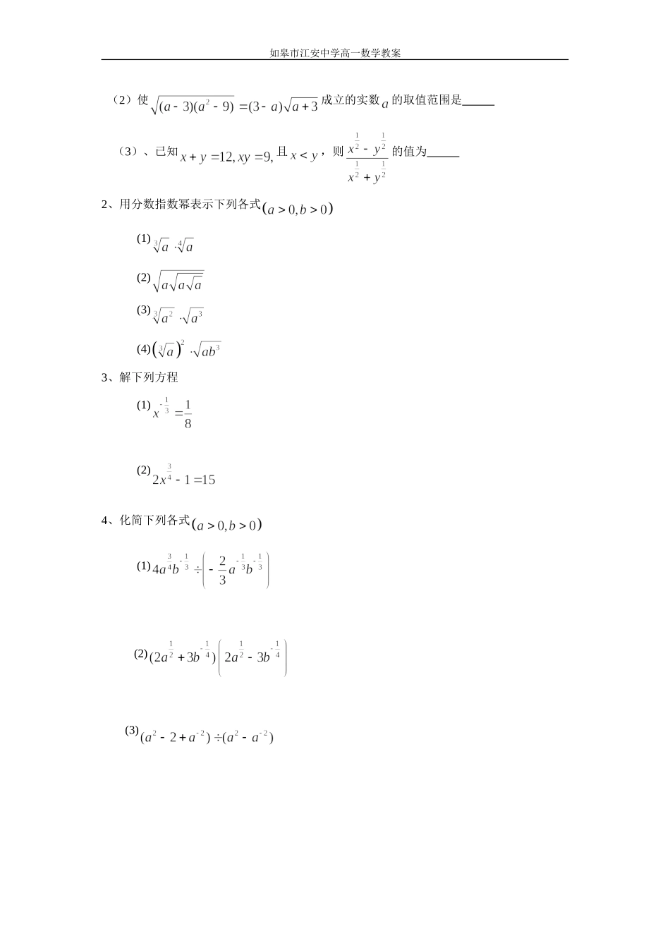
如皋市江安中学高一数学教案2.2.1分数指数幂教学目标:1.初步了解根式的概念2.了解分数指数幂的概念,能进行分数指数幂与根式的互化3.能正确进行指数运算教学重点、难点:正确理解根式以及分数指数幂的概念,根式与分数指数幂的互化,运用分数指数幂进行简单运算教学过程:活动1:理解方根、根式及分数指数幂的概念及其性质一.定义平方根:如果,那么称为的平方根立方根:如果,那么称为的立方根次方根:一般地,若,则叫做的次实数方根,叫做根式,叫做根指数,叫做被开方数分数指数幂的概念:二.次方根的性质:(1)当为奇数时,=(2)当为偶数时,三.*分数指数幂的意义:()(1)(2)=注:0的正分数指数幂等于0,0的负分数指数幂没有意义*分数指数幂的运算性质:(1)(2)如皋市江安中学高一数学教案(3)(其中)能力一:能求根式的值例1:求下列各式的值:(1)(2)(3)(4)思考=_____,=_____能力二:能求任意数的分数指数幂例2:求下列各式的值(1)(2)(3)(4)能力三:能将根式和分数指数幂进行转化例3:用分数指数幂的形式表示下列各式(1)(2)(3)能力四:能利用已知条件求给定式子的值例4:若,求及的值活动2:课堂小结活动3:反馈检测:1、(1)27的平方根和立方根是分别是如皋市江安中学高一数学教案(2)使成立的实数的取值范围是(3)、已知且,则的值为2、用分数指数幂表示下列各式(1)(2)(3)(4)3、解下列方程(1)(2)4、化简下列各式(1)(2)(3)如皋市江安中学高一数学教案4、(1)已知,求的值(2)若则的值5、比较的大小6、计算:(1)(2)

1、当您付费下载文档后,您只拥有了使用权限,并不意味着购买了版权,文档只能用于自身使用,不得用于其他商业用途(如 [转卖]进行直接盈利或[编辑后售卖]进行间接盈利)。
2、本站所有内容均由合作方或网友上传,本站不对文档的完整性、权威性及其观点立场正确性做任何保证或承诺!文档内容仅供研究参考,付费前请自行鉴别。
3、如文档内容存在违规,或者侵犯商业秘密、侵犯著作权等,请点击“违规举报”。

碎片内容

分数指数幂6

您可能关注的文档

中小学文库+ 关注
实名认证
内容提供者

精品资料应用尽有

相关标签

确认删除?
VIP
微信客服
  • 扫码咨询
会员Q群
  • 会员专属群点击这里加入QQ群
客服邮箱
回到顶部