电脑桌面
添加小米粒文库到电脑桌面
安装后可以在桌面快捷访问

高考数学全参数方程和普通方程地互化练习VIP免费

高考数学全参数方程和普通方程地互化练习_第1页
1/14
高考数学全参数方程和普通方程地互化练习_第2页
2/14
高考数学全参数方程和普通方程地互化练习_第3页
3/14
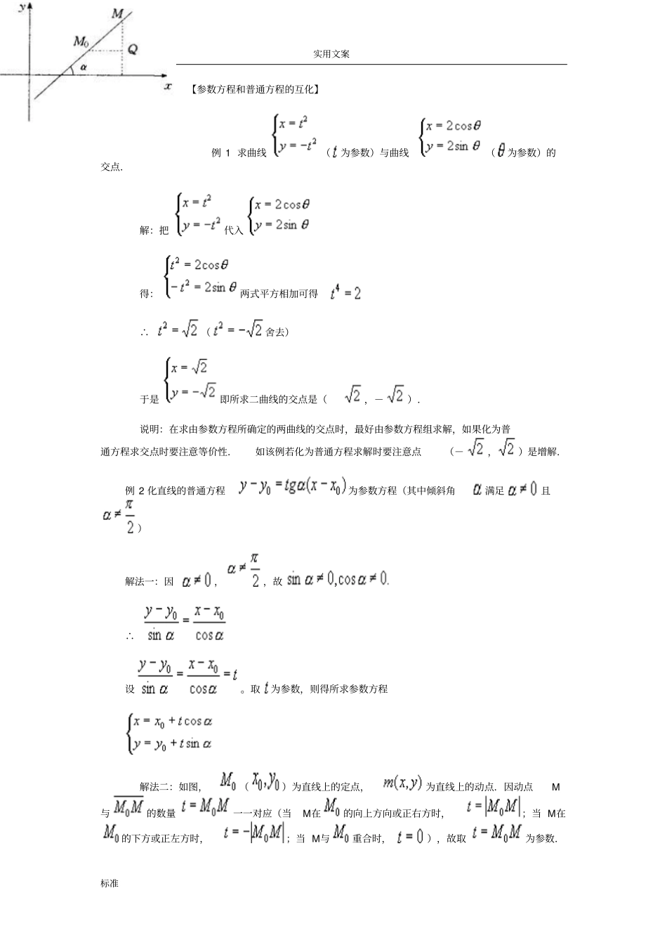
实用文案标准【参数方程和普通方程的互化】例1求曲线(为参数)与曲线(为参数)的交点.解:把代入得:两式平方相加可得∴(舍去)于是即所求二曲线的交点是(,-).说明:在求由参数方程所确定的两曲线的交点时,最好由参数方程组求解,如果化为普通方程求交点时要注意等价性.如该例若化为普通方程求解时要注意点(-,)是增解.例2化直线的普通方程为参数方程(其中倾斜角满足且)解法一:因,,故∴设。取为参数,则得所求参数方程解法二:如图,()为直线上的定点,为直线上的动点.因动点M与的数量一一对应(当M在的向上方向或正右方时,;当M在的下方或正左方时,;当M与重合时,),故取为参数.实用文案标准过点M作y轴的平行线,过点作轴的平行线,两直线相交于点Q(如图).则有∴即为所求的参数方程。说明:①在解法二中,不必限定,,即不必限定,.由此可知,无论中任意值时,所得方程都是经过(),倾斜角为的直线的参数方程.可称它是直线参数方程的“点角式”或“标准式”.②要充分理解解法二所示的参数的几何意义,这对解决某些问题较为方便.③如果取为参数,则得直线参数方程一般地,直线的参数方程的一般形式是(,为参数)但只有当且仅当,且时,这个一般式才是标准式,参数才具有上述的几何意义.例3求椭圆的参数方程.分析一:把与对比,不难发现,可设,也可设实用文案标准解法一:设(为参数),则∴故因此,所得参数方程是(Ⅰ)或(Ⅱ)由于曲线(Ⅱ)上的点(,),就是曲线(Ⅰ)上的点(,),所以曲线(Ⅱ)上的点都是曲线(Ⅰ)上的点.显然.椭圆的参数方程是分析二:借助于椭圆的辅助圆,可明确椭圆参数方程中的几何意义.解法二:以原点O为圆心,为半径作圆,如图.设以轴正半轴为始边,以动半径OA为终边的变角为,过点A作轴于N,交椭圆于M,取为参数,则点M()的横坐标(以下同解法一).由解法二知,参数是点M所对应的圆半径OA的转角,而不是OM的转角,因而称为椭圆的离角.(如果以O为圆心,为半径作圆,过M作,交圆于B,由可知也是半径OB的转角).例4用圆上任一点的半径与x轴正方向的夹角为参数,把圆化为参数方程。分析:由圆的性质及三角函数的定义可把圆上任意一点化为的参数形式。解:如图所示,圆方程化为,设圆与x轴正半轴交于A,为圆上任一点,过P作轴于B,OP与x轴正半轴所成角为,,则:实用文案标准又中,∴∴此圆的参数方程为例5设(为参数)把普通方程化为以为参数的参数方程。解:把代入原方程,得,解得∴参数方程为(为参数) 与表示的是同一曲线,所以它们是等价的,可以省略一个。∴所求参数方程例6化双曲线为参数方程。解:设,代入为,得∴的参数方程为(为参数,)这是同学中较为常见的解法,这种解法是错误的,那么错在哪里呢?请你找出来。错误在于,双曲线上x的取值范围是不等于零的一切实数,错解中得到的参数方程中x的取值范围仅仅,故错解中得到的参数方程只表示双曲线上一部分,不符合普通方程与参数方程的等价性要求,普通方程化为参数方程时关键是选择适当的参数,注意使所得参数方程与原普通方程中变量x、y的允许值范围要保持一致。实用文案标准下面给出正确解法:设,代入得。∴的参数方程为:(为参数,)例7化参数方程(为参数)为普通方程。分析一:用代入消元法,从已知方程中解出参数,代入后消去参数。解法一: ∴即将它代入(1),并化简得()分析二:用整体消参法。注意表达式的分母相同,而分子的平方和恰为原来相同的分母。解法二:得又 ∴于是得所求普通方程为即实用文案标准分析三:因为,所以。从表达式可联想万能公式。于是可用三角变换,然后利用三角公式再消参。解法三: ,∴可令(,)又 于是得得即 ,()∴()即,∴∴普通方程是()说明:解法一是用代入法消参,解法二是整体消参法,解法三是运用万能公式,三角变换消参,三种解法中都应注意的限制条件,使参数方程化为普通方程时保持等价性。例8将下列参数方程(其中,为参数)化为普通方程。(1)(2)(3)实用文案标准解:(1) ∴()为所求。(2)由,得()将它代入,并化简得()另解: 并整理得()(3)...

1、当您付费下载文档后,您只拥有了使用权限,并不意味着购买了版权,文档只能用于自身使用,不得用于其他商业用途(如 [转卖]进行直接盈利或[编辑后售卖]进行间接盈利)。
2、本站所有内容均由合作方或网友上传,本站不对文档的完整性、权威性及其观点立场正确性做任何保证或承诺!文档内容仅供研究参考,付费前请自行鉴别。
3、如文档内容存在违规,或者侵犯商业秘密、侵犯著作权等,请点击“违规举报”。

碎片内容

高考数学全参数方程和普通方程地互化练习

文库响当当+ 关注
实名认证
内容提供者

该用户很懒,什么也没介绍

确认删除?
VIP
微信客服
  • 扫码咨询
会员Q群
  • 会员专属群点击这里加入QQ群
客服邮箱
回到顶部