电脑桌面
添加小米粒文库到电脑桌面
安装后可以在桌面快捷访问

《一元二次方程根与系数的关系》VIP免费

《一元二次方程根与系数的关系》_第1页
1/11
《一元二次方程根与系数的关系》_第2页
2/11
《一元二次方程根与系数的关系》_第3页
3/11
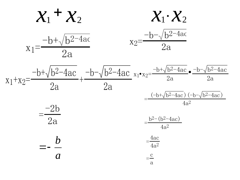
一元二次方程的根与系数的关系猜想:猜想:如果一元二次方程如果一元二次方程ax2+bx+c=0(a、b、c是常数且a=0)的两根为x1、x2,则x1.x2与系数a,b,c的关系。xx21042acbabxx21acxx21x1+x2=-b+b2-4ac2a+-b-b2-4ac2axx21x1x2=-b+b2-4ac2a-b-b2-4ac2ax2=-b-b2-4ac2a=-2b2a=(-b+b2-4ac)(-b-b2-4ac)4a2=4ac4a2=b2-(b2-4ac)4a2=caxx21.ab例例11已知方程已知方程22x2+kx-4=0的一个根是-4,求它的另一个根及k的值。答:方程的另一个根是k的值是7。解:设方程的另一根为了,则x22442422xxk7212kx21(1)x2-3x+1=0(2)3x2-2x=2(3)2x2+3x=0(4)3x2=11.下列方程两根的和与两根的积各是多少?(不解方程)22、、设x1.x2是方程2x2+4x-3=0的两个根,利用根与系数的关系,求下列各式的值。(1)(x1+1)(x2+1)(2)—+—x1x2x1x2一元二次方程根与系数的关系?acabaCbxaxxxxxxx2121212.;,)0(0则有的两根分别是如果例题2:(1)若关于x的方程2x2+5x+n=0的一个根是-2,求它的另一个根及n的值。(2)若关于x的方程x2+kx-6=0的一个根是-2,求它的另一个根及k的值。二、典型例题例题1:已知方程x2=2x+1的两根为x1,x2,不解方程,求下列各式的值。(1)(x1-x2)2(2)x13x2+x1x23(3)212112xxxx例题3:设x1,x2是方程2x2-3x+m=0的两个根,且8x1-2x2=7,求m的值。例题4:已知关于x的一元二次方程x2+(2k-1)x+k2=0有两个不相等的实数根,且方程的两根之和比两根之积7,求k的值。1、一元二次方程的一般形式。ax2+bx+c=0(a≠0)abac(1)a≠0(2)△≥02、若一元二次方程ax2+bx+c=0(a≠0)的两根分别为x1、x2,则x1+x2=,x1x2=。3、用根与系数关系解题的条件是。一、知识要点:

1、当您付费下载文档后,您只拥有了使用权限,并不意味着购买了版权,文档只能用于自身使用,不得用于其他商业用途(如 [转卖]进行直接盈利或[编辑后售卖]进行间接盈利)。
2、本站所有内容均由合作方或网友上传,本站不对文档的完整性、权威性及其观点立场正确性做任何保证或承诺!文档内容仅供研究参考,付费前请自行鉴别。
3、如文档内容存在违规,或者侵犯商业秘密、侵犯著作权等,请点击“违规举报”。

碎片内容

《一元二次方程根与系数的关系》

您可能关注的文档

确认删除?
VIP
微信客服
  • 扫码咨询
会员Q群
  • 会员专属群点击这里加入QQ群
客服邮箱
回到顶部