电脑桌面
添加小米粒文库到电脑桌面
安装后可以在桌面快捷访问

分式达标练习VIP免费

分式达标练习_第1页
1/2
分式达标练习_第2页
2/2
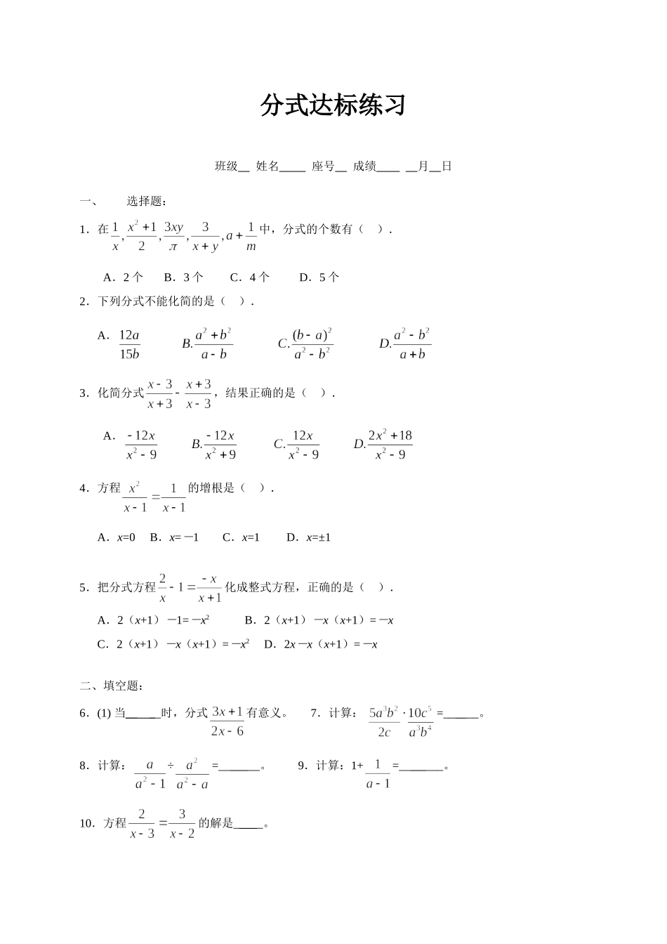
分式达标练习班级姓名座号成绩月日一、选择题:1.在中,分式的个数有().A.2个B.3个C.4个D.5个2.下列分式不能化简的是().A.3.化简分式,结果正确的是().A.4.方程的增根是().A.x=0B.x=-1C.x=1D.x=±15.把分式方程化成整式方程,正确的是().A.2(x+1)-1=-x2B.2(x+1)-x(x+1)=-xC.2(x+1)-x(x+1)=-x2D.2x-x(x+1)=-x二、填空题:6.(1)当____时,分式有意义。7.计算:·=____。8.计算:÷=____。9.计算:1+=_____。10.方程的解是__。三、解答题:11.求当x取何值时,分式:(1)有意义?(2)无意义?(3)分式的值为零?12.计算:(1);(2)。13.解分式方程:。14.甲、乙两地相距19千米,某人从甲地去乙地,先步行7千米,然后改骑自行车,共用了2小时到达乙地,已知这个人骑自行车的速度是步行速度的4倍,求步行的速度和骑自行车的速度。

1、当您付费下载文档后,您只拥有了使用权限,并不意味着购买了版权,文档只能用于自身使用,不得用于其他商业用途(如 [转卖]进行直接盈利或[编辑后售卖]进行间接盈利)。
2、本站所有内容均由合作方或网友上传,本站不对文档的完整性、权威性及其观点立场正确性做任何保证或承诺!文档内容仅供研究参考,付费前请自行鉴别。
3、如文档内容存在违规,或者侵犯商业秘密、侵犯著作权等,请点击“违规举报”。

碎片内容

分式达标练习

您可能关注的文档

精品文库+ 关注
实名认证
内容提供者

小学学习各类资料大全

相关文档

确认删除?
VIP
微信客服
  • 扫码咨询
会员Q群
  • 会员专属群点击这里加入QQ群
客服邮箱
回到顶部