电脑桌面
添加小米粒文库到电脑桌面
安装后可以在桌面快捷访问

一元一次方程易错题VIP免费

一元一次方程易错题_第1页
1/21
一元一次方程易错题_第2页
2/21
一元一次方程易错题_第3页
3/21
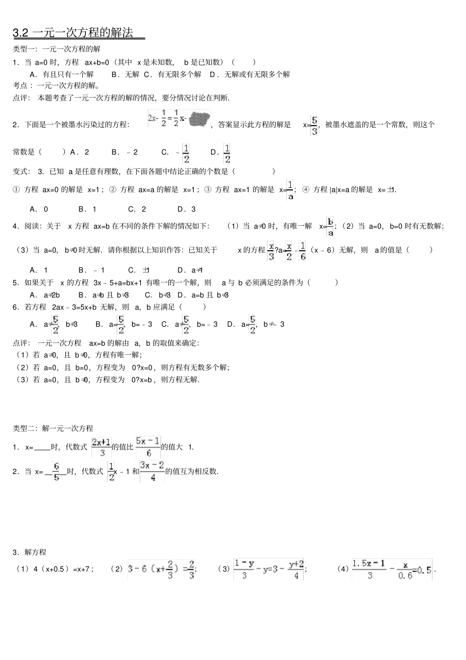
一元一次方程3.1一元一次方程类型一:等式的性质1.下列说法中,正确的个数是()①若mx=my,则mx﹣my=0;②若mx=my,则x=y;③若mx=my,则mx+my=2my;④若x=y,则mx=my.A.1B.2C.3D.4考点:等式的性质。点评:主要考查了等式的基本性质.等式性质1:等式的两边都加上或者减去同一个数或同一个整式,所得结果仍是等式;等式性质2:等式的两边都乘以或者除以同一个数(除数不为零),所得结果仍是等式.变式:2.已知x=y,则下面变形不一定成立的是()A.x+a=y+aB.x﹣a=y﹣aC.D.2x=2y3.等式的下列变形属于等式性质2的变形为()A.B.C.2(3x+1)﹣6=3xD.2(3x+1)﹣x=2类型二:一元一次方程的定义1.如果关于x的方程是一元一次方程,则m的值为()A.B.3C.﹣3D.不存在考点:一元一次方程的定义。点评:本题主要考查了一元一次方程的一般形式,只含有一个未知数,未知数的指数是1,一次项系数不是0,这是这类题目考查的重点.变式:2.若2x3﹣2k+2k=41是关于x的一元一次方程,则k=.3.已知3x|n﹣1|+5=0为一元一次方程,则n=.4.下列方程中,一元一次方程的个数是个.(1)2x=x﹣(1﹣x);(2)x2﹣x+=x2+1;(3)3y=x+;(4)=2;(5)3x﹣=2.类型三:由实际问题抽象出一元一次方程1.汽车以72千米/时的速度在公路上行驶,开向寂静的山谷,驾驶员揿一下喇叭,4秒后听到回响,这时汽车离山谷多远?已知空气中声音的传播速度约为340米/秒.设听到回响时,汽车离山谷x米,根据题意,列出方程为()A.2x+4×20=4×340B.2x﹣4×72=4×340C.2x+4×72=4×340D.2x﹣4×20=4×3402.有m辆客车及n个人,若每辆客车乘40人,则还有10人不能上车,若每辆客车乘43人,则只有1人不能上车,有下列四个等式:①40m+10=43m﹣1;②③④40m+10=43m+1,其中正确的是()A.①②B.②④C.②③D.③④3.某电视机厂10月份产量为10万台,以后每月增长率为5%,那么到年底再能生产()万台.A.10(1+5%)B.10(1+5%)2C.10(1+5%)3D.10(1+5%)+10(1+5%)24.一个数x,减去3得6,列出方程是()A.3﹣x=6B.x+6=3C.x+3=6D.x﹣3=65.某工程要求按期完成,甲队单独完成需40天,乙队单独完成需50天,现甲队单独做4天,后两队合作,则正好按期完工.问该工程的工期是几天?设该工程的工期为x天.则方程为()A.B.C.D.6.如图,六位朋友均匀的围坐在圆桌旁聚会.圆桌的半径为80cm,每人离桌边10cm,有后来两位客人,每人向后挪动了相同距离并左右调整位置,使8个人都坐下,每相邻两人之间的距离与原来相邻两人之间的距离(即在圆周上两人之间的圆弧的长)相等.设每人向后挪动的距离为xcm.则根据题意,可列方程为:()A.B.C.2π(80+10)×8=2π(80+x)×10D.2π(80﹣x)×10=2π(80+x)×87.在一个笼子里面放着几只鸡与几只兔,数了数一共有14个头,44只脚.问鸡兔各有几只设鸡为x只,得方程()A.2x+4(14﹣x)=44B.4x+2(14﹣x)=44C.4x+2(x﹣14)=44D.2x+4(x﹣14)=448.把一张纸剪成5块,从所得的纸片中取出若干块,每块又剪成5块,如此下去,至剪完某一次后,共得纸片总数N可能是()A.1990B.1991C.1992D.19939.某种商品因换季准备打折出售,如果按定价的七五折出售将赔25元,而按定价的九折出售将赚20元,问这种商品的定价是多少设定价为x,则下列方程中正确的是()A.x﹣20=x+25B.x+20=x+25C.x﹣25=x+20D.x+25=x﹣2010.某班组每天需生产50个零件才能在规定的时间内完成一批零件任务,实际上该班组每天比计划多生产了6个零件,结果比规定的时间提前3天并超额生产120个零件,若设该班组要完成的零件任务为x个,则可列方程为()A.B.C.D..3.2一元一次方程的解法类型一:一元一次方程的解1.当a=0时,方程ax+b=0(其中x是未知数,b是已知数)()A.有且只有一个解B.无解C.有无限多个解D.无解或有无限多个解考点:一元一次方程的解。点评:本题考查了一元一次方程的解的情况,要分情况讨论在判断.2.下面是一个被墨水污染过的方程:,答案显示此方程的解是x=,被墨水遮盖的是一个常数,则这个常数是()A.2B.﹣2C.﹣D.变式:3.已知...

1、当您付费下载文档后,您只拥有了使用权限,并不意味着购买了版权,文档只能用于自身使用,不得用于其他商业用途(如 [转卖]进行直接盈利或[编辑后售卖]进行间接盈利)。
2、本站所有内容均由合作方或网友上传,本站不对文档的完整性、权威性及其观点立场正确性做任何保证或承诺!文档内容仅供研究参考,付费前请自行鉴别。
3、如文档内容存在违规,或者侵犯商业秘密、侵犯著作权等,请点击“违规举报”。

碎片内容

一元一次方程易错题

您可能关注的文档

爱的疯狂+ 关注
实名认证
内容提供者

该用户很懒,什么也没介绍

相关文档

确认删除?
VIP
微信客服
  • 扫码咨询
会员Q群
  • 会员专属群点击这里加入QQ群
客服邮箱
回到顶部