电脑桌面
添加小米粒文库到电脑桌面
安装后可以在桌面快捷访问

七年级数学下---整式的乘法综合练习题VIP免费

七年级数学下---整式的乘法综合练习题_第1页
1/17
七年级数学下---整式的乘法综合练习题_第2页
2/17
七年级数学下---整式的乘法综合练习题_第3页
3/17
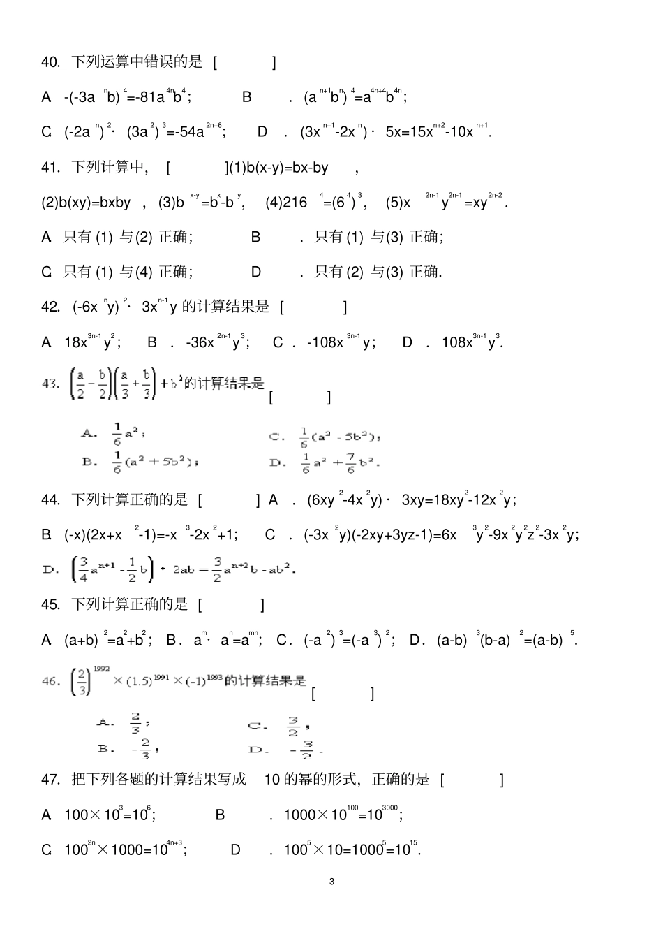
1七年级数学下---整式的乘法综合练习题(一)填空1.a8=(-a5)____.2.a15=()5.3.3m2·2m3=______.4.(x+a)(x+a)=______.5.a3·(-a)5·(-3a)2·(-7ab3)=_____.6.(-a2b)3·(-ab2)=____.7.(2x)2·x4=()2.8.24a2b3=6a2·______.9.[(am)n]p=______.10.(-mn)2(-m2n)3=______.11.多项式的积(3x4-2x3+x2-8x+7)(2x3+5x2+6x-3)中x3项的系数是______.12.m是x的六次多项式,n是x的四次多项式,则2m-n是x的______次多项式.14.(3x2)3-7x3[x3-x(4x2+1)]=______.15.{[(-1)4]m}n=______.16.-{-[-(-a2)3]4}2=______.17.一长方体的高是(a+2)厘米,底面积是(a2+a-6)厘米2,则它的体积是______.18.若10m=a,10n=b,那么10m+n=______.19.3(a-b)2[9(a-b)n+2](b-a)5=______(a-b)n+9.20.已知3x·(xn+5)=3xn+1-8,那么x=______.21.若a2n-1·a2n+1=a12,则n=______.22.(8a3)m÷[(4a2)n·2a]=______.23.若a<0,n为奇数,则(an)5______0.24.(x-x2-1)(x2-x+1)n(x-x2-1)2n=______.25.(4+2x-3y2)·(5x+y2-4xy)·(xy-3x2+2y4)的最高次项是______.26.已知有理数x,y,z满足|x-z-2|+(3x-6y-7)2+|3y+3z-4|=0,则x3n+1y3n+1z4n-1的值(n为自然数)等于______.(二)选择:27.下列计算最后一步的依据是[]5a2x4·(-4a3x)=[5×(-4)]·a2·a3·x4·x(乘法交换律)=-20(a2a3)·(x4x)(乘法结合律)=-20a5x5.()A.乘法意义;B.乘方定义;C.同底数幂相乘法则;D.幂的乘方法则.228.下列计算正确的是[]A.9a3·2a2=18a5;B.2x5·3x4=5x9;C.3x3·4x3=12x3;D.3y3·5y3=15y9.29.(ym)3·yn的运算结果是[]B.y3m+n;C.y3(m+n);D.y3mn.30.下列计算错误的是[]A.(x+1)(x+4)=x2+5x+4;B.(m-2)(m+3)=m2+m-6;C.(y+4)(y-5)=y2+9y-20;D.(x-3)(x-6)=x2-9x+18.31.计算-a2b2·(-ab3)2所得的结果是[]A.a4b8;B.-a4b8;C.a4b7;D.-a3b8.32.下列计算中错误的是[]A.[(a+b)2]3=(a+b)6;B.[(x+y)2n]5=(x+y)2n+5;C.[(x+y)m]n=(x+y)mn;D.[(x+y)m+1]n=(x+y)mn+n.33.(-2x3y4)3的值是[]A.-6x6y7;B.-8x27y64;C.-8x9y12;D.-6xy10.34.下列计算正确的是[]A.(a3)n+1=a3n+1;B.(-a2)3a6=a12;C.a8m·a8m=2a16m;D.(-m)(-m)4=-m5.35.(a-b)2n·(b-a)·(a-b)m-1的结果是[]A.(a-b)2n+m;B.-(a-b)2n+m;C.(b-a)2n+m;D.以上都不对.36.若0<y<1,那么代数式y(1-y)(1+y)的值一定是[]A.正的;B.非负;C.负的;D.正、负不能唯一确定.37.(-2.5m3)2·(-4m)3的计算结果是[]A.40m9;B.-40m9;C.400m9;D.-400m9.38.如果b2m<bm(m为自然数),那么b的值是[]A.b>0;B.b<0;C.0<b<1;D.b≠1.39.下列计算中正确的是[]A.am+1·a2=am+2;D.[-(-a)2]2=-a4.340.下列运算中错误的是[]A.-(-3anb)4=-81a4nb4;B.(an+1bn)4=a4n+4b4n;C.(-2an)2·(3a2)3=-54a2n+6;D.(3xn+1-2xn)·5x=15xn+2-10xn+1.41.下列计算中,[](1)b(x-y)=bx-by,(2)b(xy)=bxby,(3)bx-y=bx-by,(4)2164=(64)3,(5)x2n-1y2n-1=xy2n-2.A.只有(1)与(2)正确;B.只有(1)与(3)正确;C.只有(1)与(4)正确;D.只有(2)与(3)正确.42.(-6xny)2·3xn-1y的计算结果是[]A.18x3n-1y2;B.-36x2n-1y3;C.-108x3n-1y;D.108x3n-1y3.[]44.下列计算正确的是[]A.(6xy2-4x2y)·3xy=18xy2-12x2y;B.(-x)(2x+x2-1)=-x3-2x2+1;C.(-3x2y)(-2xy+3yz-1)=6x3y2-9x2y2z2-3x2y;45.下列计算正确的是[]A.(a+b)2=a2+b2;B.am·an=amn;C.(-a2)3=(-a3)2;D.(a-b)3(b-a)2=(a-b)5.[]47.把下列各题的计算结果写成10的幂的形式,正确的是[]A.100×103=106;B.1000×10100=103000;C.1002n×1000=104n+3;D.1005×10=10005=1015.448.t2-(t+1)(t-5)的计算结果正确的是[]A.-4t-5;B.4t+5;C.t2-4t+5;D.t2+4t-5.49.使(x2+px+8)(x2-3x+q)的积中不含x2和x3的p,q的值分别是[]A.p=0,q=0;B.p=-3,q=-9;C.p=3,q=1;D.p=-3,q=1.50.设xy<0,要使xnym·xnym>0,那么[]A.m,n都应是偶数;B.m,n都应是奇数;C.不论m,n为奇数或偶数都可以;D.不论m,n为奇数或偶数都不行.51...

1、当您付费下载文档后,您只拥有了使用权限,并不意味着购买了版权,文档只能用于自身使用,不得用于其他商业用途(如 [转卖]进行直接盈利或[编辑后售卖]进行间接盈利)。
2、本站所有内容均由合作方或网友上传,本站不对文档的完整性、权威性及其观点立场正确性做任何保证或承诺!文档内容仅供研究参考,付费前请自行鉴别。
3、如文档内容存在违规,或者侵犯商业秘密、侵犯著作权等,请点击“违规举报”。

碎片内容

七年级数学下---整式的乘法综合练习题

您可能关注的文档

确认删除?
VIP
微信客服
  • 扫码咨询
会员Q群
  • 会员专属群点击这里加入QQ群
客服邮箱
回到顶部