电脑桌面
添加小米粒文库到电脑桌面
安装后可以在桌面快捷访问

广东省茂名市第十中学2013届高三数学-考前十五天每天一练5VIP免费

广东省茂名市第十中学2013届高三数学-考前十五天每天一练5_第1页
1/3
广东省茂名市第十中学2013届高三数学-考前十五天每天一练5_第2页
2/3
广东省茂名市第十中学2013届高三数学-考前十五天每天一练5_第3页
3/3
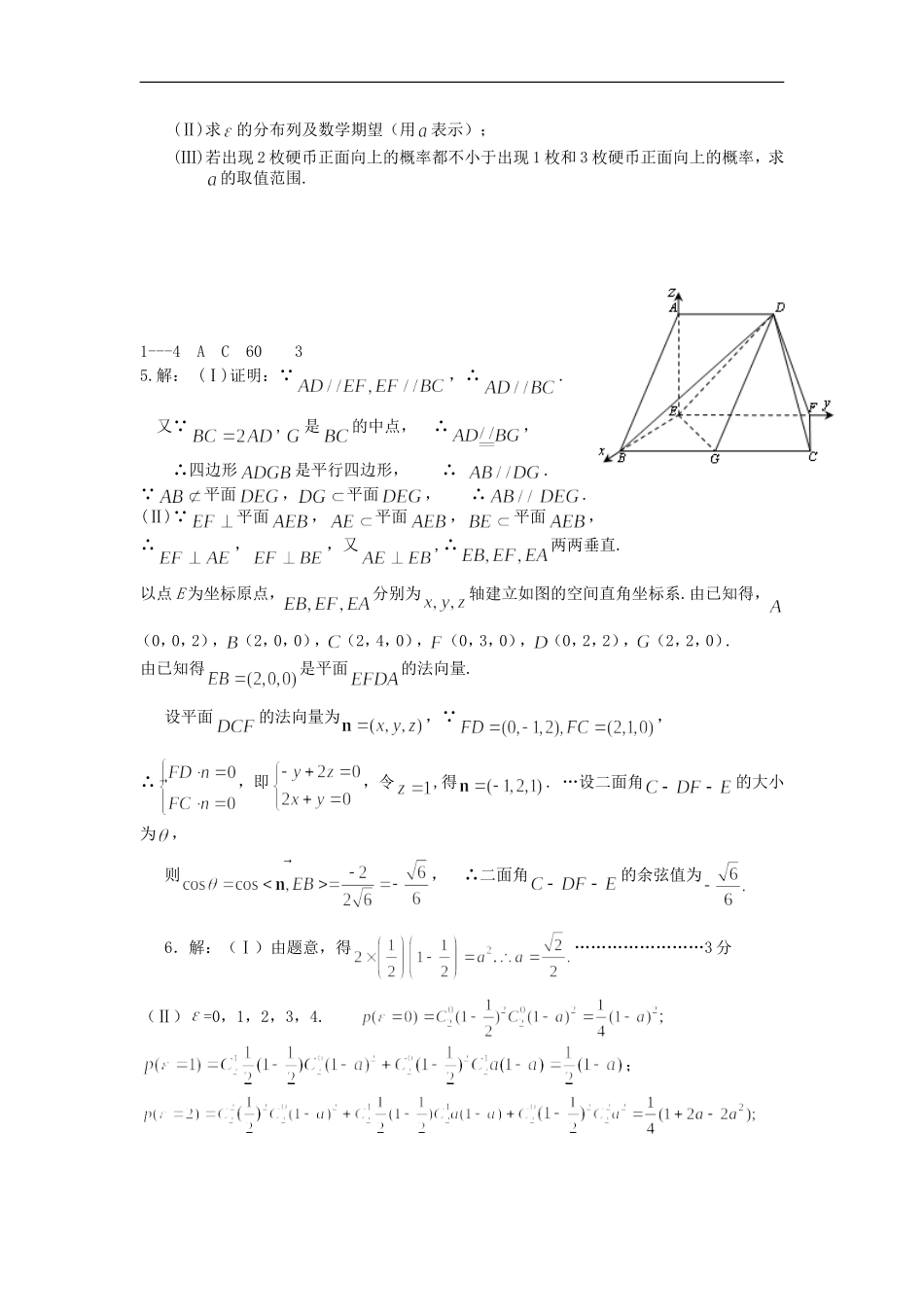
每天一练5.1.若连掷两次骰子,得到的点数分别为、,记向量与向量的夹角为,则的概率是A.B.C.D.2.己知双曲线的方程为,直线的方程为,过双曲线的右焦点的直线与双曲线的右支相交于、,以为直径的圆与直线相交于、,记劣弧的长度为,则的值为A.B.C.D.3.在二项式的展开式中,的系数是;4.若等比数列{}的首项为,且,则公比等于_____________;5在如图的多面体中,⊥平面,,,,,,,是的中点.(Ⅰ)求证:平面;(Ⅱ)求二面角的余弦值.6投掷四枚不同的金属硬币,假定两枚正面向上的概率均为,另两枚为非均匀硬币,正面向上的概率均为,把这四枚硬币各投掷一次,设表示正面向上的枚数.(Ⅰ)若出现一枚正面向上一枚反面向上与出现两枚正面均向上的概率相等,求的值;(Ⅱ)求的分布列及数学期望(用表示);(Ⅲ)若出现2枚硬币正面向上的概率都不小于出现1枚和3枚硬币正面向上的概率,求的取值范围.1---4AC6035.解:(Ⅰ)证明:∵,∴.又∵,是的中点,∴,∴四边形是平行四边形,∴.∵平面,平面,∴.(Ⅱ)∵平面,平面,平面,∴,,又,∴两两垂直.以点E为坐标原点,分别为轴建立如图的空间直角坐标系.由已知得,(0,0,2),(2,0,0),(2,4,0),(0,3,0),(0,2,2),(2,2,0).由已知得是平面的法向量.设平面的法向量为,∵,∴,即,令,得.…设二面角的大小为,则,∴二面角的余弦值为6.解:(Ⅰ)由题意,得……………………3分(Ⅱ)=0,1,2,3,4.;得的分布列为:01234p的数学期望为:……10分(Ⅲ)≥0.≥0.………12分…13分

1、当您付费下载文档后,您只拥有了使用权限,并不意味着购买了版权,文档只能用于自身使用,不得用于其他商业用途(如 [转卖]进行直接盈利或[编辑后售卖]进行间接盈利)。
2、本站所有内容均由合作方或网友上传,本站不对文档的完整性、权威性及其观点立场正确性做任何保证或承诺!文档内容仅供研究参考,付费前请自行鉴别。
3、如文档内容存在违规,或者侵犯商业秘密、侵犯著作权等,请点击“违规举报”。

碎片内容

广东省茂名市第十中学2013届高三数学-考前十五天每天一练5

您可能关注的文档

精品中小学文档+ 关注
实名认证
内容提供者

精品资料,值得下载

确认删除?
VIP
微信客服
  • 扫码咨询
会员Q群
  • 会员专属群点击这里加入QQ群
客服邮箱
回到顶部