电脑桌面
添加小米粒文库到电脑桌面
安装后可以在桌面快捷访问

高二数学 空间向量及其运算练习题VIP免费

高二数学 空间向量及其运算练习题_第1页
1/7
高二数学 空间向量及其运算练习题_第2页
2/7
高二数学 空间向量及其运算练习题_第3页
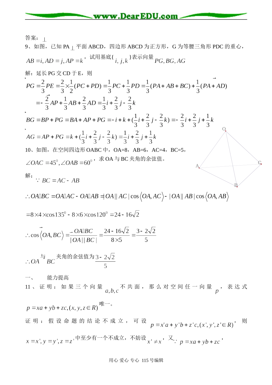
3/7
高二数学空间向量及其运算练习题题海冲浪:一、基础题:1、平面向量中,下列说法正确的是()A、如果两个向量的长度相等,那么这两个向量相等;B、如果两个向量平行,那么这两个向量的方向相同;C、如果两个向量平行并且它们的模相等,那么这两个向量相等;D、同向且等腰三角形长的有向线段表示同一向量。答案:D2、已知空间向量四边形ABCD,连结AC、BD,设M、G分别是BC、CD的中点,则等于()A、B、D、D、解析:答案:B3、已知,,则||等于()A、B、97C、D、61解析:答案:C4、已知是不共面的三个向量,则下列选项中能构成一个基底的一组向量是()A、B、C、D、解析:A中,排除A用心爱心专心115号编辑DABCGMB中,排除BD中,排除D答案:C5、已知非零向量不平行,并且其模相同,则与之间的并系是()A、垂直B、共线C、不垂直D、以上都可以答案:A6、在空间四边形ABCD中,连结AC、BD,若是正三角形,且E为其中心,则的化简结果为答案:7、已知A、B、C三点不共线,对平面ABC外一点O,分别根据条件:(1);(2);(3);(4);能够确定P与A、B、C一定共面的有解析:设(1)中不共面;(2)中共面;(3)中共面;(4)中不共面;8、若,则解析:由题意得,用心爱心专心115号编辑ABCPGDOABC答案:9、如图,已知PA平面ABCD,四边形ABCD为正方形,G为等腰三角形PDC的重心,,试用基底{}表示向量解:延长PG交CD于E,则10、如图,在空间四边形OABC中,OA=8,AB=6,AC=4,BC=5,,求OA与BC夹角的余弦值。解:与夹角的余弦值为一、能力提高11、证明:如果三个向量不共面,那么对空间任一向量,表达式唯一。证明:假设命题的结论不成立,可设,则中至少有一个不成立,不妨设,又,用心爱心专心115号编辑而不共线,为共面向量,这与题设矛盾,故表达示唯一。12、如图,已知空间四边形OABC中,M为BC的中点,N为AC的中点,P为OA的中点,Q为OB的中点,若AB=OC,求证:PM证明:==13、如图所示,已知四面楚歌体ABCD为正四面体,E、F分别是BC、AD的中点,求异面直线AE、CF所成的角。解:设正四面体的棱长为则且三向量两两夹角均为600,又用心爱心专心115号编辑ABDCEFACBOPM又异面直线所成角的范围是(0,所成的角为。备选题:1、在正方体ABCD—A1B1C1D1中,O为AC与BD的交点,G为CC1的中点,求证:A1O平面GBD证明:设=,,则而又平面BDG2、如图,已知平行六面体ABCD—A1B1C1D1的底面ABCD是菱用心爱心专心115号编辑A1B1D1ABCDC1OC1D1B1A1CDAB形,且(1)求证:(2)当的值为多少时,能使平面?请给出证明。证明:(1)取为空间的一个基底,设菱形的边长为,中两两所夹的角为,于是,,即有(2)设即时,能使平面C1BD平面BC1D,BD平面,,且且令得时,同理可证,当时,时,平面用心爱心专心115号编辑用心爱心专心115号编辑

1、当您付费下载文档后,您只拥有了使用权限,并不意味着购买了版权,文档只能用于自身使用,不得用于其他商业用途(如 [转卖]进行直接盈利或[编辑后售卖]进行间接盈利)。
2、本站所有内容均由合作方或网友上传,本站不对文档的完整性、权威性及其观点立场正确性做任何保证或承诺!文档内容仅供研究参考,付费前请自行鉴别。
3、如文档内容存在违规,或者侵犯商业秘密、侵犯著作权等,请点击“违规举报”。

碎片内容

高二数学 空间向量及其运算练习题

您可能关注的文档

星河书苑+ 关注
实名认证
内容提供者

从事历史教学,热爱教育,高度负责。

确认删除?
VIP
微信客服
  • 扫码咨询
会员Q群
  • 会员专属群点击这里加入QQ群
客服邮箱
回到顶部