电脑桌面
添加小米粒文库到电脑桌面
安装后可以在桌面快捷访问

高中数学 第二章 解三角形 2.2 三角形中的几何计算课后习题(含解析)北师大版必修5-北师大版高二必修5数学试题VIP免费

高中数学 第二章 解三角形 2.2 三角形中的几何计算课后习题(含解析)北师大版必修5-北师大版高二必修5数学试题_第1页
1/5
高中数学 第二章 解三角形 2.2 三角形中的几何计算课后习题(含解析)北师大版必修5-北师大版高二必修5数学试题_第2页
2/5
高中数学 第二章 解三角形 2.2 三角形中的几何计算课后习题(含解析)北师大版必修5-北师大版高二必修5数学试题_第3页
3/5
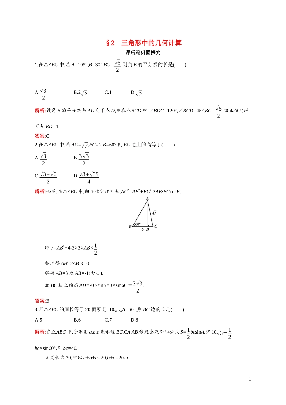
§2三角形中的几何计算课后篇巩固探究1.在△ABC中,若A=105°,B=30°,BC=√62,则角B的平分线的长是()A.√32B.2√2C.1D.√2解析:设角B的平分线与AC交于点D,则在△BCD中,∠BDC=120°,∠BCD=45°,BC=√62,由正弦定理可知BD=1.答案:C2.在△ABC中,若AC=√7,BC=2,B=60°,则BC边上的高等于()A.√32B.3√32C.√3+√62D.√3+√394解析:如图,在△ABC中,由余弦定理可知,AC2=AB2+BC2-2AB·BCcosB,即7=AB2+4-2×2×AB×12.整理得AB2-2AB-3=0.解得AB=3或AB=-1(舍去).故BC边上的高AD=AB·sinB=3×sin60°=3√32.答案:B3.若△ABC的周长等于20,面积是10√3,A=60°,则BC边的长是()A.5B.6C.7D.8解析:在△ABC中,分别用a,b,c表示边BC,CA,AB.依题意及面积公式S=12bcsinA,得10√3=12bc×sin60°,即bc=40.又周长为20,所以a+b+c=20,b+c=20-a.1由余弦定理,得a2=b2+c2-2bccosA=b2+c2-2bccos60°=b2+c2-bc=(b+c)2-3bc,所以a2=(20-a)2-120,解得a=7.答案:C4.在△ABC中,角A,B,C所对的边分别为a,b,c且满足csinA=acosC.当√3sinA-cos(B+π4)取最大值时,A的大小为()A.π3B.π4C.π6D.2π3解析:由正弦定理得sinCsinA=sinAcosC.因为00,从而sinC=cosC.又cosC≠0,所以tanC=1,则C=π4,所以B=3π4-A.于是√3sinA-cos(B+π4)=√3sinA-cos(π-A)=√3sinA+cosA=2sin(A+π6).因为0

1、当您付费下载文档后,您只拥有了使用权限,并不意味着购买了版权,文档只能用于自身使用,不得用于其他商业用途(如 [转卖]进行直接盈利或[编辑后售卖]进行间接盈利)。
2、本站所有内容均由合作方或网友上传,本站不对文档的完整性、权威性及其观点立场正确性做任何保证或承诺!文档内容仅供研究参考,付费前请自行鉴别。
3、如文档内容存在违规,或者侵犯商业秘密、侵犯著作权等,请点击“违规举报”。

碎片内容

高中数学 第二章 解三角形 2.2 三角形中的几何计算课后习题(含解析)北师大版必修5-北师大版高二必修5数学试题

确认删除?
微信客服
  • 扫码咨询
会员Q群
  • 会员专属群点击这里加入QQ群