电脑桌面
添加小米粒文库到电脑桌面
安装后可以在桌面快捷访问

(江苏专用)高考数学一轮复习 考点25 平面向量的数量积与平面向量应用举例必刷题(含解析)-人教版高三全册数学试题VIP免费

(江苏专用)高考数学一轮复习 考点25 平面向量的数量积与平面向量应用举例必刷题(含解析)-人教版高三全册数学试题_第1页
1/19
(江苏专用)高考数学一轮复习 考点25 平面向量的数量积与平面向量应用举例必刷题(含解析)-人教版高三全册数学试题_第2页
2/19
(江苏专用)高考数学一轮复习 考点25 平面向量的数量积与平面向量应用举例必刷题(含解析)-人教版高三全册数学试题_第3页
3/19
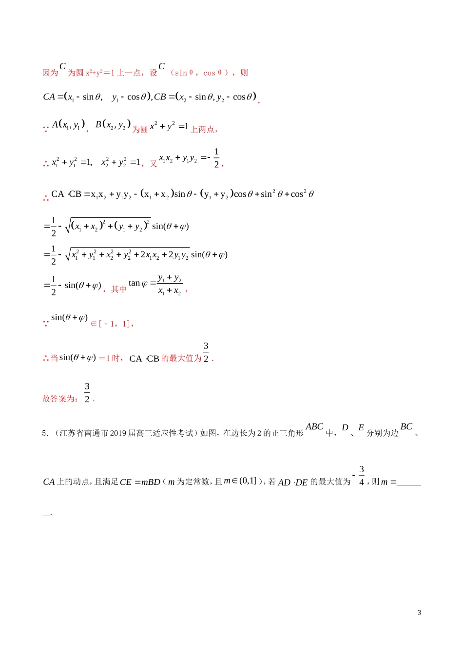
考点25平面向量的数量积与平面向量应用举例1.(江苏省徐州市2019届高三考前模拟检测)已知1e�,2e�是夹角为3的两个单位向量,向量122aee��,12bkee��,若0ab,则实数k的值为________.【答案】54【解析】已知1e�,2e�是夹角为3的两个单位向量,所以121ee�,得12121cos32eeee�,若22121211221221221202abeekeekekeeekk��解得54k故答案为:54.2.(江苏省徐州市2018-2019学年高三考前模拟检测)已知A,B为圆22:5Oxy上的两个动点,4AB,M为线段AB的中点,点P为直线:60lxy上一动点,则PMPB�的最小值为____.【答案】7【解析】因为4AB,2BM,取BM的中点N,连接,OMPN,则21PMPBPNNBPNNBPN�,又225OMMB,故1OM,所以222112ON,2ON,又PNOPON,而006322OP,所以22PN,当且仅当OP垂直于直线l且,,ONP三点共线时等号成立,所以1PMPB�的最小值为817,填7.3.(江苏省徐州市2018-2019学年高三考前模拟检测)已知12,ee�是夹角为3的两个单位向量,向量122aee��,12bkee��,若0ab,则实数k的值为____.【答案】54【解析】121202keabeee�����,因为22121ee�,1212ee�,所以1522022abkkk,所以54k,填54.4.(江苏省南通市2019届高三模拟练习卷四模)在平面直角坐标系xOy中,已知11,Axy,22,Bxy为圆221xy上两点,且121212xxyy.若C为圆上的任意一点,则CACB�的最大值为______.【答案】32【解析】2因为C为圆x2+y2=1上一点,设C(sinθ,cosθ),则1122sin,cos,sin,cosCAxyCBxy�, 11,Axy,22,Bxy为圆221xy上两点,∴222211221,1xyxy,又121212xxyy,∴2212121212CACBxxyyxxsinyycossincos�2212121sin()2xxyy222211221212122sin()2xyxyxxyy1sin()2,其中1212tanyyxx, sin()∈[﹣1,1],∴当sin()=1时,CACB�的最大值为32.故答案为:32.5.(江苏省南通市2019届高三适应性考试)如图,在边长为2的正三角形ABC中,D、E分别为边BC、CA上的动点,且满足CEmBD(m为定常数,且(0,1]m),若ADDE�的最大值为34,则m________.3【答案】12【解析】以BC中点为坐标原点O,OC方向为x轴正方向,OA方向为y轴正方向,建立如图所示平面直角坐标系,因为正三角形ABC边长为2,所以(1,0)B,(1,0)C,(0,3)A,则(2,0)BC�,(1,3)CA�,因为D为边BC上的动点,所以设BDtBC�,其中01t,则(2,0)BDt�,所以(21,0)Dt;又CEmBDtmBC,所以(,3)CEtmCAtmtm�,因此(1,3)Etmtm,所以(21,3)ADt�,(22,3)DEtmttm�,故2(21)(22)32(2)2(3)2ADDEttmttmmtmt�2223332(2)22(2)222424mmmmttmtmmm223101(2)2424mmmmtmm,因为(0,1]m,所以31513,2422434mmm,又01t,所以当且仅当324mtm时,ADDE�取得最大值,4即21013244mmm,整理得221780mm,解得12m或8m(舍)故答案为126.(江苏省扬州中学2019届高三4月考试)已知ABC外接圆O的半径为2,且2ABACAO,|AB||AO|,则CACB______.【答案】12【解析】因为2ABACAO,所以点O是线段BC的中点,O是ABC外接圆的圆心,因此ABC是以BC为斜边的直角三角形,又因为|AB||AO|,所以2,4ABBC,因此030ACB,23AC,所以cos323412.2CACBCABCBAC7.(江苏省南京金陵中学、海安高级中学、南京外国语学校2019届高三第四次模拟考试)已知菱形ABCD中,对角线AC=3,B...

1、当您付费下载文档后,您只拥有了使用权限,并不意味着购买了版权,文档只能用于自身使用,不得用于其他商业用途(如 [转卖]进行直接盈利或[编辑后售卖]进行间接盈利)。
2、本站所有内容均由合作方或网友上传,本站不对文档的完整性、权威性及其观点立场正确性做任何保证或承诺!文档内容仅供研究参考,付费前请自行鉴别。
3、如文档内容存在违规,或者侵犯商业秘密、侵犯著作权等,请点击“违规举报”。

碎片内容

(江苏专用)高考数学一轮复习 考点25 平面向量的数量积与平面向量应用举例必刷题(含解析)-人教版高三全册数学试题

您可能关注的文档

海博书城+ 关注
实名认证
内容提供者

从事历史教学,热爱教育,高度负责。

相关文档

确认删除?
VIP
微信客服
  • 扫码咨询
会员Q群
  • 会员专属群点击这里加入QQ群
客服邮箱
回到顶部