电脑桌面
添加小米粒文库到电脑桌面
安装后可以在桌面快捷访问

高考数学解答题双曲线斜率和积与四点共圆 Word版含答案VIP免费

高考数学解答题双曲线斜率和积与四点共圆 Word版含答案_第1页
1/7
高考数学解答题双曲线斜率和积与四点共圆 Word版含答案_第2页
2/7
高考数学解答题双曲线斜率和积与四点共圆 Word版含答案_第3页
3/7
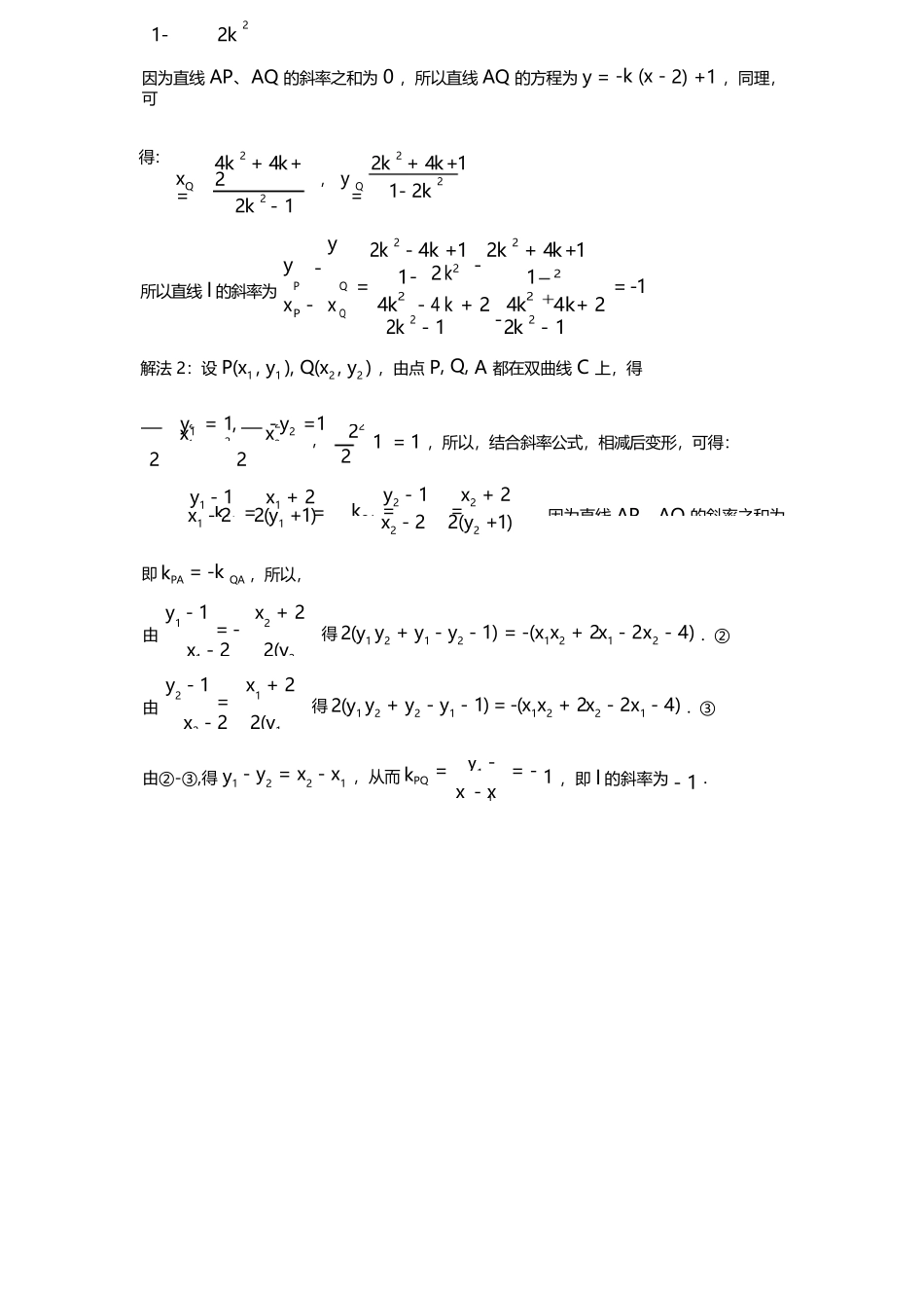
双曲线中的斜率和(积)问题例1.(2022新高考1卷)已知点A(2,1)在双曲线C:x22-=1(a>1)上,直线l交C于P,aa-1Q两点,直线AP,AQ的斜率之和为0.求l的斜率.(2)若tan经PAQ=22,求ΔPAQ的面积.解法1:(设点解点)设直线AP的方程为y=k(x-2)+1,与双曲线C的方程-y=12联立,消去y得到(1-2k2)x2+4k(2k-1)x-8k2+8k-4=0,根据韦达定理,得xAxP=-8k2+8k-41-2k2,故xP=4k2-4k+22k2-1,从而yP=k(xP-2)+1=2k2-4k+1x21-2k2因为直线AP、AQ的斜率之和为0,所以直线AQ的方程为y=-k(x-2)+1,同理,可得:xQ=4k2+4k+22k2-1,yQ=2k2+4k+11-2k22k2-4k+1-2k2+4k+1所以直线l的斜率为yxPP--yxQQ=4k12--24kk2+2-4k1224k+2=-12k2-12k2-1解法2:设P(x1,y1),Q(x2,y2),由点P,Q,A都在双曲线C上,得y1=1,-y2=1,22y1-1x1+2x1-22(y1+1)即kPA=-kQA,所以,1=1,所以,结合斜率公式,相减后变形,可得:2y2-1x2+2x2-22(y2+1)由y1-1=-x2+2得2(y1y2+y1-y2-1)=-(x1x2+2x1-2x2-4).②由y2-1=x1+2得2(y1y2+y2-y1-1)=-(x1x2+2x2-2x1-4).③由②-③,得y1-y2=x2-x1,从而kPQ=x-x=-1,即l的斜率为-1.kQA==.因为直线AP、AQ的斜率之和为kPA==x21-2x22x1-22(y2x2-22(y122-y1-1..解法3:(设而不求)将点A代入双曲线方程得-2-2=1,化简得a4-4a2+4=0,aa-1:a2=2,故双曲线方程为x2-y2=1,由题显然直线l的斜率存在,设l:y=kx+m,设P(x1,2y1)Q(x2,y2),则联立双曲线得:(2k2-1)x2+4kmx+2m2+2=0,故x1+x2=-,2k-12m2+2y1-1y2-1kx1+m-1kx2+m-1x1x2=,kAP+kAQ=+=+=0,化简得:2kx1x2+(m-1-2k)(x1+x2)-4(m-1)=0,故2k(2m2+2)+(m-1-2k)(-4km)-4(m-1)=0,2k2-12k2-1即(k+1)(m+2k-1)=0,当m+2k-1=0时,直线l:y=k(x-2)+1过点A,不合题意,舍去.,故k=-1.方法4.(同构双斜率)设过点A的直线方程为y=k(x-2)+1,直线l的方程为y=k0x+m,联立解得xP=m+2k-1,yP=2kk0-k0+mk,代入双曲线C的方程x2-y2=1中,整理得[4-2(2k0+m)2-2]k2+4[(m-1)+k0(2k0+m)+k0]k+[(m-1)2-4k20]=0,这是关于k的一元二次方程,方程的两根k1、k2分别为直线AP、AQ的斜率.因为直线AP、AQ的斜率之和为0,即k1+k2=0,所以(m-1)+k0(2k0+m)+k0=0,整理后分解得(k0+1)(2k0+m-1)=0.因为直线l不经过点A,所以2k0+m子1,从而k0=-1,即l的斜率为-1.方法5(齐次化联立)双曲线方程为x2-y2=1,设P(x1,y1),Q(x2,y2),2 AP,AQ的斜率之和为0,∴k1+k2=故将双曲线方程为-y2=1变形为:2且设直线l:m(x-2)+n(y-1)=1,2k2-1x1-2x2-2x1-2x24xk-k0k-k0—y1-1+y2-1=0,x1-2x2-2(x-2+2)2-2(y-1+1)2=1(*),由(*)式有:(x-2)2-2(y-1)2+4(x-2)-(y-1)=0常(x-2)2-2(y-1)2+4(x-2)-(y-1)根m(x-2)+n(y-1)=0常(4m+1)(x-2)2-(4n+2)(y-1)2-(4m-4n)(x-2)(y-1)=0常(4n+2)(y-1)22+(4m-4n)y-1-(4m+1)=0,(两边同除以(x-2)2),即(4n+2)k2+(4m-4n)k-(4m+1)=0,而k1,k2是此方程的两根.∴k1+k2==0常m=n,故直线l斜率为−1.4n+2方法6:(曲线系)点A处的切线方程为x-y-1=0,设直线AP的方程为y-1=k1(x-2),AQ的方程为y-1=k2(x-2),PQ的方程y=kx+b,则过这四条直线交点的二次曲线方程为(kx-y-b)(x-y-1)+λ[k1(x-1)-y+1].[k2(x-1)-y+1]=0.又因为双曲线过这些交点,比较xy的系数得-k-1+λ(-k1-k2)=0.又由k1+k2=0,所以k=-1.4n-(x-2)x-这样的话,本文就展示了这道题目的6种解法,其实无所谓好坏之分,都是很好的方法,都体现了对运算对象和运算规则较为精准的把握.但是,在考场时间如此紧张的条件下,又快又准的解题却是关键,方法1,3为通法,是多数考生的选择,这样的方法就是套路感强,我们练习的最多,但是过多的沉迷于这些方法会让我们对解析几何的理解就定位在“暴力运算”,我觉得,如果时间允许,去探寻思考方法2和方法4也是不错的选择.方法5,6就是所谓的“秒杀神技”,但是我个人觉得这两个方法还是有风险的,因为它们技巧性很强,可能对很多学生而言都很难想清楚这个平移坐标系究竟是个什么“梗”,这两个方法很多人都可能学个“四不像”,徒劳无功!所以,对解析几何运算的核心还在于去思考,理解运算对象,这个板块的特点就是翻译:几何问题代数化,代数问题坐标化,不同的理解就会有不同的处理思路,我们要基于常见的...

1、当您付费下载文档后,您只拥有了使用权限,并不意味着购买了版权,文档只能用于自身使用,不得用于其他商业用途(如 [转卖]进行直接盈利或[编辑后售卖]进行间接盈利)。
2、本站所有内容均由合作方或网友上传,本站不对文档的完整性、权威性及其观点立场正确性做任何保证或承诺!文档内容仅供研究参考,付费前请自行鉴别。
3、如文档内容存在违规,或者侵犯商业秘密、侵犯著作权等,请点击“违规举报”。

碎片内容

高考数学解答题双曲线斜率和积与四点共圆 Word版含答案

最好的沉淀+ 关注
实名认证
内容提供者

行业文档

确认删除?
VIP
微信客服
  • 扫码咨询
会员Q群
  • 会员专属群点击这里加入QQ群
客服邮箱
回到顶部