电脑桌面
添加小米粒文库到电脑桌面
安装后可以在桌面快捷访问

高二数学专题讲座:《最大值与最小值》知识精讲 人教版VIP免费

高二数学专题讲座:《最大值与最小值》知识精讲 人教版_第1页
1/7
高二数学专题讲座:《最大值与最小值》知识精讲 人教版_第2页
2/7
高二数学专题讲座:《最大值与最小值》知识精讲 人教版_第3页
3/7
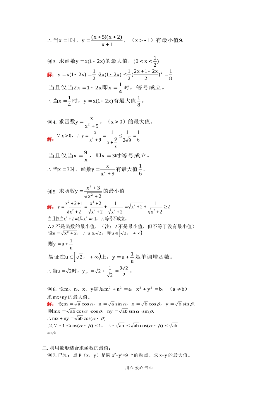
高二数学专题讲座:《最大值与最小值》知识精讲人教版一.本周教学内容:专题讲座:《最大值与最小值》从历年的高考题看,每年都有最值的试题,最值问题在代数、三角、解析几何中都可以命题。既可以出一些基础题又可以出一些小综合题,甚至还可以出一些中等偏难的题。但是,不管是什么样的最值题,最终都可以归纳为以下几种常用方法求解:1.利用二次函数求最值;2.利用判别式法求最值;3.利用函数的单调性求最值;4.利用均值不等式求最值;(现在只限两个数)5.数形结合求最值;6.利用三角代换法求最值。结合本学期教学内容,重点介绍用“均值不等式”求最值和利用“数形结合法”求最值。一.利用“均值定理求最值”12.均值定理:若,,则(当且仅当时取等号)abRababab2.规律:若积ab为定值,则当a=b时,a+b有最小值;若和a+b为定值,则当a=b时,ab有最大值;3.注意:使用定理时应具备的条件:(1)正(2)定(3)相等。例1.求函数,()的最小值。yxxx110分析:要用均值不等式求最小值,关键是结构调整。要求和的最小值,则需它们的积为定值。解:yxxx110()xxx010110,yxxxx111121111211即y≥1当且仅当即时,等号成立。xxx1110当时,有最小值。xyxx0111例2.求函数,的最小值。yxxxx()()()5211分析:此题的关键是根据函数的特点,通过适当的恒等变形把问题转化为定积条件下的两个变量和的最小值问题。解:yxxxxxxxx227101155411415459()().当且仅当即时等号成立xxx1411用心爱心专心当时,,()有最小值xyxxxx152119()().例3.求函数的最大值,yxxx()()12012解:yxxxxxx()()()1212212122122182当且仅当即时,等号成立。21214xxx当时,有最大值。xyxx141218()例4.求函数,()的最大值。yxxx290解:xyxxxx0919129162,当且仅当,即时等号成立。xxx93当时,函数有最大值。xyxx39162例5.求函数的最小值yxx2232解:yxxxxxxx222222221222122122当且仅当即,等号不成立。xx22211∴2不是函数的最小值,(注:2不是最小值,但不等于没有最小值)设,,即,uxuu2222则yuu1易证在,上,是单调增函数。uyuu21当时,。小uy2212322例6.设、、、满足,,()mnxymnaxybab2222求mx+ny的最大值。解:设,,,manaxbybcossincossin.则,mxabnyabcoscossinsin.mxnyabcos()又,11cos()cos()ababab()mxnyab大二.利用数形结合求函数的最值:例7.已知:点P(x,y)是圆x2+y2=9上的动点。求x+y的最大值。用心爱心专心yb大3Oxb小解:设x+y=b,则y=-x+b与y=-x平行。问题转化为:求直线y=-x+b与圆有公共点时,直线在y轴上的最大截距问题。显然当直线与圆相切时,b有最大或最小值。利用圆心到切线的距离等于半径3。即,32||b||bbb323232,。大例8.已知点,在,求的取值范围。Pxyxyyx()()2122解:设,则yxkykx.问题转化为直线y=kx与圆(x-2)2+y2=1有公共点时,斜率的取值范围问题。现在只要求出k的最大和最小值即可。kk大小,3333k3333,y1O2x例9.若点(,)在圆,上(为参数)Pxyxy3242cossin求x2+y2的最小值。解:xy342cossinxy321422cossin()()()()()().12344222xy设:,则xydxyd22222.又的几何意义为:点(,)到原点(,)的距离dxyPxyO2200由图形可知,要使|OP|最小,显然连OC交圆C于点P,此时的点P使||OPdxy22最小。因此:|OP|2=x2+y2也最小用心爱心专心||().OC34522||||OPOC23||.OPdxy22229yxO3P2-4C(3,-4)例10.右焦点为的椭圆:,(为参数),内有一点()FCxcsoyP...

1、当您付费下载文档后,您只拥有了使用权限,并不意味着购买了版权,文档只能用于自身使用,不得用于其他商业用途(如 [转卖]进行直接盈利或[编辑后售卖]进行间接盈利)。
2、本站所有内容均由合作方或网友上传,本站不对文档的完整性、权威性及其观点立场正确性做任何保证或承诺!文档内容仅供研究参考,付费前请自行鉴别。
3、如文档内容存在违规,或者侵犯商业秘密、侵犯著作权等,请点击“违规举报”。

碎片内容

高二数学专题讲座:《最大值与最小值》知识精讲 人教版

您可能关注的文档

确认删除?
VIP
微信客服
  • 扫码咨询
会员Q群
  • 会员专属群点击这里加入QQ群
客服邮箱
回到顶部