电脑桌面
添加小米粒文库到电脑桌面
安装后可以在桌面快捷访问

高二数学第3周第1次小题单(导数的应用)-人教版高二全册数学试题VIP免费

高二数学第3周第1次小题单(导数的应用)-人教版高二全册数学试题_第1页
1/5
高二数学第3周第1次小题单(导数的应用)-人教版高二全册数学试题_第2页
2/5
高二数学第3周第1次小题单(导数的应用)-人教版高二全册数学试题_第3页
3/5
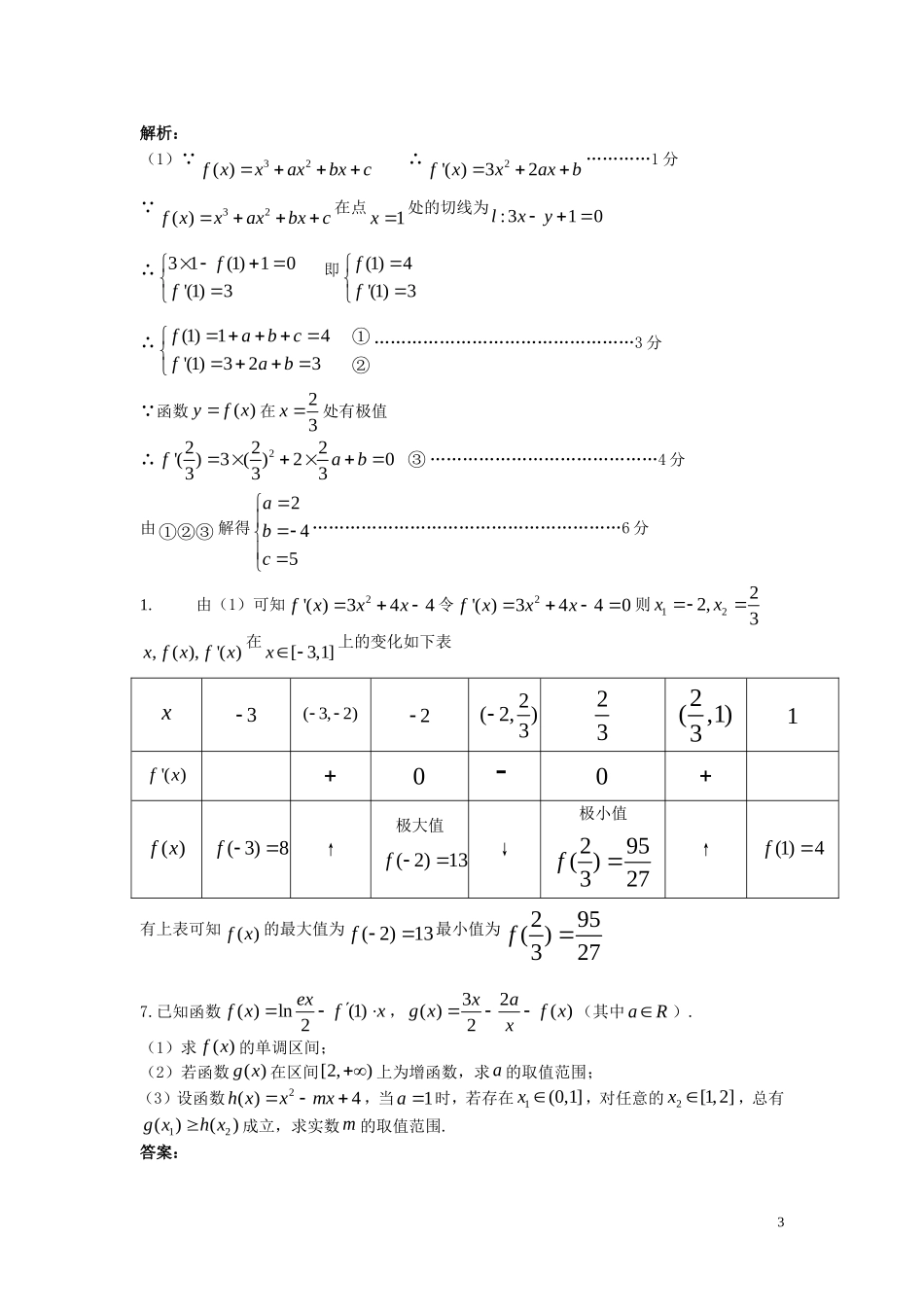
重庆市永川中学高二数学第3周第1次小题单(导数的应用)1.对于函数3cos36fxxx,下列说法正确的是()A.fx是奇函数且在(6π6π,)上递减B.fx是奇函数且在(6π6π,)上递增C.fx是偶函数且在(6π0,)上递减D.fx是偶函数且在(6π0,)上递增答案:C解析:33cos3sin32fxxxxx,33sin3sin3fxxxxxfx,所以为偶函数,排除A,B,因为2'3sin3cos3fxxxxx,当0,6时,'0fx,所以在区间0,6上递减,故选择C.2.若32()132xafxxx函数在区间1,43上有极值点,则实数a的取值范围是()A.102,3B.172,4C.1017,34D.102,3答案:B解析: 32()132xafxxx函数∴f′(x)=x2-ax+1,若32()132xafxxx函数在区间1,43上有极值点,则f′(x)=x2-ax+1在区间1,43内有零点,由x2-ax+1=0可得a=x+1x x∈1,43,∴172,43.f(x)是定义在(0,+∞)上的非负可导函数,且满足xf′(x)-f(x)≤0,对任意正数a,b,若a

1、当您付费下载文档后,您只拥有了使用权限,并不意味着购买了版权,文档只能用于自身使用,不得用于其他商业用途(如 [转卖]进行直接盈利或[编辑后售卖]进行间接盈利)。
2、本站所有内容均由合作方或网友上传,本站不对文档的完整性、权威性及其观点立场正确性做任何保证或承诺!文档内容仅供研究参考,付费前请自行鉴别。
3、如文档内容存在违规,或者侵犯商业秘密、侵犯著作权等,请点击“违规举报”。

碎片内容

高二数学第3周第1次小题单(导数的应用)-人教版高二全册数学试题

您可能关注的文档

状元书店+ 关注
实名认证
内容提供者

热爱教学事业,对互联网知识分享很感兴趣

相关文档

确认删除?
微信客服
  • 扫码咨询
会员Q群
  • 会员专属群点击这里加入QQ群