电脑桌面
添加小米粒文库到电脑桌面
安装后可以在桌面快捷访问

二次根式-综合检测试题VIP免费

二次根式-综合检测试题_第1页
1/4
二次根式-综合检测试题_第2页
2/4
二次根式-综合检测试题_第3页
3/4
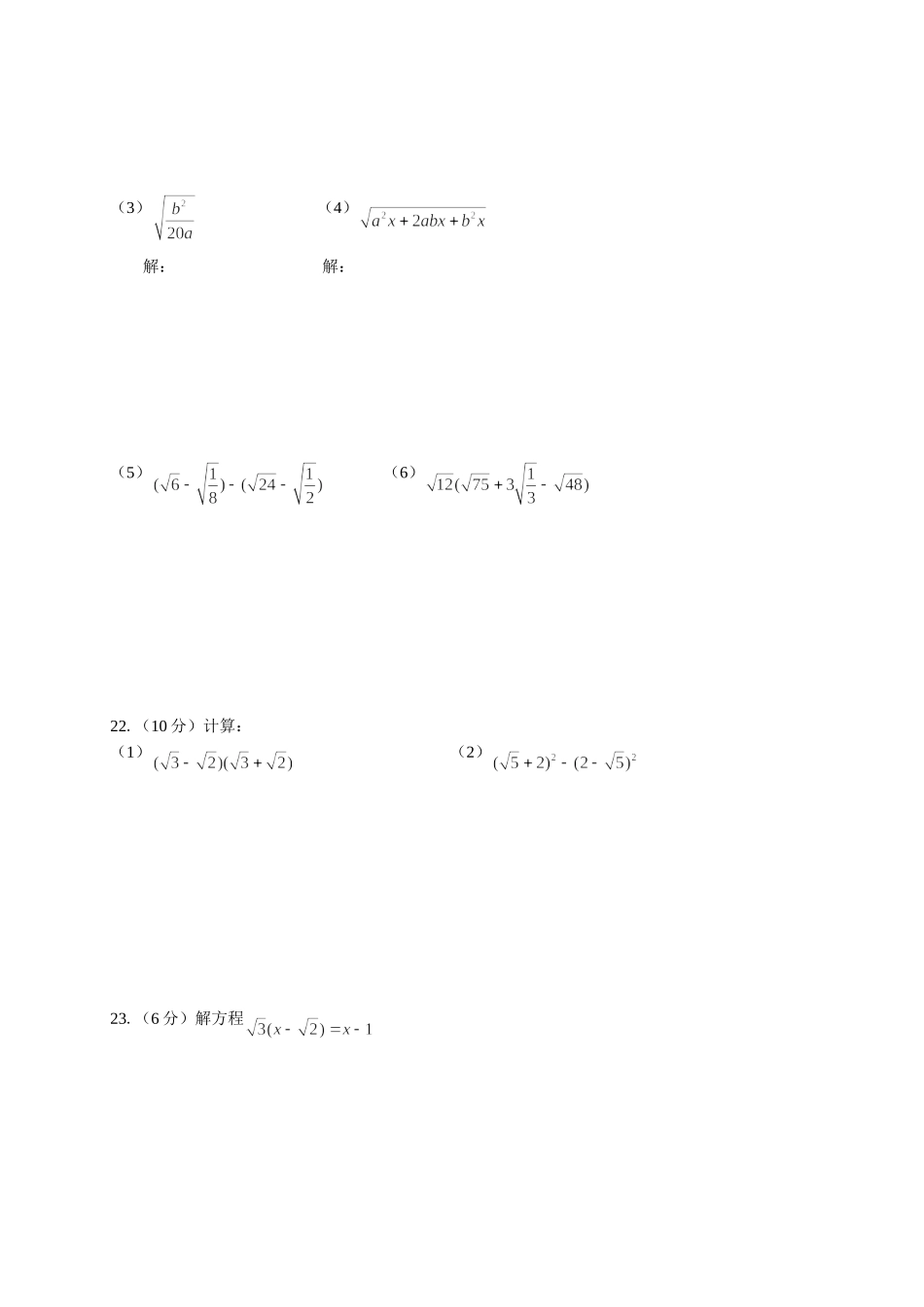
第21章二次根式一、填空题(3×10=30)1.数3的平方根是,算术平方根是;2.的平方根是,a2的算数平方根是;3.若有意义,则a的取值范围是;4.=,=,=,=;5.=;6.已知a+b=-3,ab=2,则=;7.若有意义,则=;8.等式成立的条件是;9.若是整数,则非负整数a=,的值为;10.在一个半径为2m的圆形纸片上截出一个面积最大的正方形,则这个正方形的边长是.二.选择题(3×8=24)11.在有意义的范围内,二次根式能表示的最小实数是()A.0B.2C.D.不存在12.关于的下列说法中错误的是()A.是无理数B.3<<4C.是12的算数平方根D.不能化简13.已知是整数,则满足条件的最小正整数a的值是()A.2B.3C.4D.514.若,则x的取值范围是()A.x≤1B.x≥1C.x<1D.x>115.下列各数中,与的积为有理数的是()A.B.C.D.16.若a≤0,化简的结果是()A.0B.2aC.-2aD.2a或-2a17.化简,正确的结论是()A.B.-C.D.-18.下列计算中:①,②,③,④完全正确的个数是()A.2B.1C.4D.3三.解答题(共66分)19.(16分)计算:(1)(2)解:解:(3)(4)解:解:20.(5分)化简求值:2a(a+b)-(a+b)2,其中a=,b=;21.(24分)化最简二次根式:(1)(2)解:解:(3)(4)解:解:(5)(6)22.(10分)计算:(1)(2)23.(6分)解方程

1、当您付费下载文档后,您只拥有了使用权限,并不意味着购买了版权,文档只能用于自身使用,不得用于其他商业用途(如 [转卖]进行直接盈利或[编辑后售卖]进行间接盈利)。
2、本站所有内容均由合作方或网友上传,本站不对文档的完整性、权威性及其观点立场正确性做任何保证或承诺!文档内容仅供研究参考,付费前请自行鉴别。
3、如文档内容存在违规,或者侵犯商业秘密、侵犯著作权等,请点击“违规举报”。

碎片内容

二次根式-综合检测试题

您可能关注的文档

确认删除?
VIP
微信客服
  • 扫码咨询
会员Q群
  • 会员专属群点击这里加入QQ群
客服邮箱
回到顶部