电脑桌面
添加小米粒文库到电脑桌面
安装后可以在桌面快捷访问

九年级数学上册 第21章(二次根式)测试卷(一) 新人教版试卷VIP免费

九年级数学上册 第21章(二次根式)测试卷(一) 新人教版试卷_第1页
1/5
九年级数学上册 第21章(二次根式)测试卷(一) 新人教版试卷_第2页
2/5
九年级数学上册 第21章(二次根式)测试卷(一) 新人教版试卷_第3页
3/5
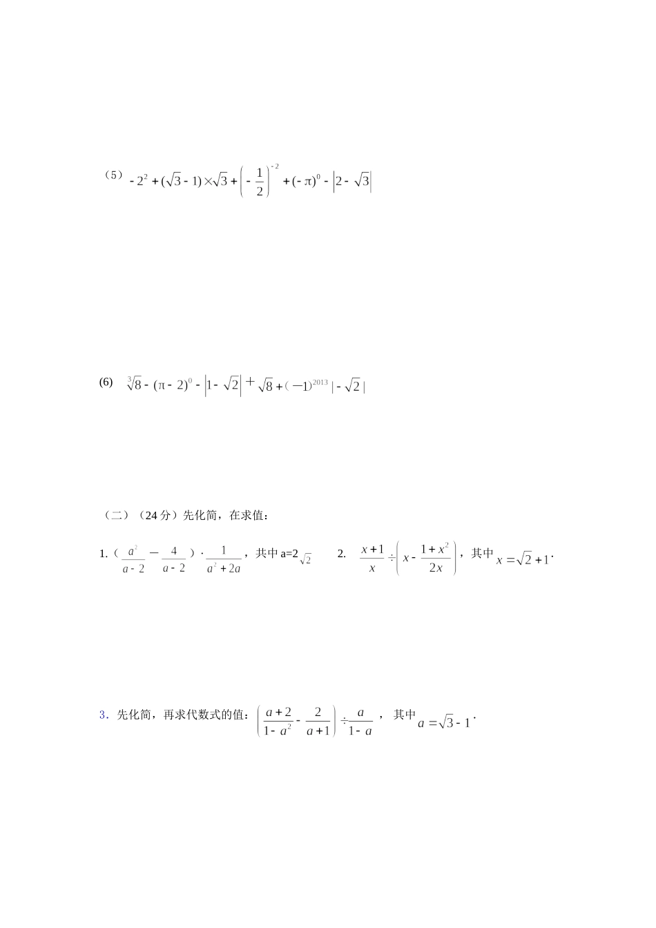
第21章《二次根式》测试题(一)姓名得分一、填空题(每空2分,共36分)1.使二次根式有意义的x的取值范围是__________;要使式子有意义,的取值范围是__________。2.52的绝对值是__________,52的倒数是__________3.已知菱形ABCD的面积为,对角线AC的长为,则对角线BD的长是_______4.把根式aa1根号外的a移到根号内,得___________;把根式根号外的(a-1)移到根号内,得___________。5.若0

1、当您付费下载文档后,您只拥有了使用权限,并不意味着购买了版权,文档只能用于自身使用,不得用于其他商业用途(如 [转卖]进行直接盈利或[编辑后售卖]进行间接盈利)。
2、本站所有内容均由合作方或网友上传,本站不对文档的完整性、权威性及其观点立场正确性做任何保证或承诺!文档内容仅供研究参考,付费前请自行鉴别。
3、如文档内容存在违规,或者侵犯商业秘密、侵犯著作权等,请点击“违规举报”。

碎片内容

九年级数学上册 第21章(二次根式)测试卷(一) 新人教版试卷

您可能关注的文档

慧源书店+ 关注
实名认证
内容提供者

从事历史教学,热爱教育,高度负责。

相关文档

确认删除?
微信客服
  • 扫码咨询
会员Q群
  • 会员专属群点击这里加入QQ群