电脑桌面
添加小米粒文库到电脑桌面
安装后可以在桌面快捷访问

小寨校区八年级数学上册 第二章 测试卷 北师大版试卷VIP免费

小寨校区八年级数学上册 第二章 测试卷 北师大版试卷_第1页
1/4
小寨校区八年级数学上册 第二章 测试卷 北师大版试卷_第2页
2/4
小寨校区八年级数学上册 第二章 测试卷 北师大版试卷_第3页
3/4
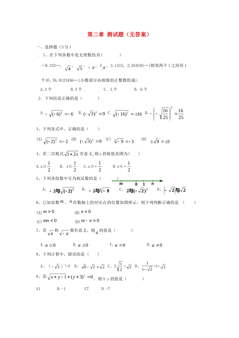
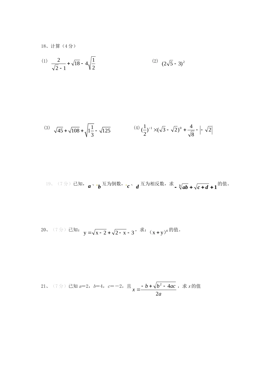
第二章测试题(无答案)一、选择题(3分)1、在下列各数中是无理数的有()-0.333…,4,5,,3,3.1415,2.010101…(相邻两个1之间有1个0),76.0123456…(小数部分由相继的正整数组成).A.3个B.4个C.5个D.6个2、下列结论正确的是()A.6)6(2B.9)3(2C.16)16(2D.2516251623、下列各式中,正确的是()(A)2)2(2(B)9)3(2(C)393(D)394、若二次根式12x有意义,则x的取值范围为()A.x≥12B.x≤12C.x≥12D.x≤125、下列各组数中互为相反数的是()A、2)2(2与B、382与C、2)2(2与D、22与6、已知实数m、n在数轴上的对应点的位置如图所示,则下列判断正确的是()(A)0m(B)0n(C)0mn(D)0nm7、若a和a都有意义,则a的值是()A.0aB.0aC.0aD.0a8、下列计算中,错误的是()A、(3)2=3B、228C、221=2D、211=1+29、若0)3(12yyx,则X-y的值是()A1B.-1C7D.-70m1n10、当14a的值为最小值时,a的取值为()A、-1B、0C、41D、1二、填空题(3分)11、若1<x<4,则化简2214xx=;12、16的算术平方根是;13、若二次根式12x有意义,则x的取值范围为;14、已知5a+3b=0,那么a—b=;15、37的相反数是;绝对值等于3的数是;16、2)4(;33)6(;2)196(=.三、解答题17、计算(4分)(1)(21)-1-2-121+(-1-2)2;(2)322214318、计算(4分)(1)21418122(2)2)352((3)14510811253(4)284)23()21(0119、(7分)已知,a、b互为倒数,c、d互为相反数,求13dcab的值。20、(7分)已知:3x22xy,求:4yx)(的值。21、(7分)已知a=2,b=4,c=-2,且aacbbx242,求x的值22、(7分)小芳想在墙壁上钉一个三角架(如图),其中两直角边长度之比为3:2,斜边长520厘米,求两直角边的长度.23、(7分)小东在学习了baba后,认为baba也成立,因此他认为一个化简过程:545520520545=24是正确的.你认为他的化简对吗?说说理由;

1、当您付费下载文档后,您只拥有了使用权限,并不意味着购买了版权,文档只能用于自身使用,不得用于其他商业用途(如 [转卖]进行直接盈利或[编辑后售卖]进行间接盈利)。
2、本站所有内容均由合作方或网友上传,本站不对文档的完整性、权威性及其观点立场正确性做任何保证或承诺!文档内容仅供研究参考,付费前请自行鉴别。
3、如文档内容存在违规,或者侵犯商业秘密、侵犯著作权等,请点击“违规举报”。

碎片内容

小寨校区八年级数学上册 第二章 测试卷 北师大版试卷

您可能关注的文档

慧源书店+ 关注
实名认证
内容提供者

从事历史教学,热爱教育,高度负责。

确认删除?
VIP
微信客服
  • 扫码咨询
会员Q群
  • 会员专属群点击这里加入QQ群
客服邮箱
回到顶部