电脑桌面
添加小米粒文库到电脑桌面
安装后可以在桌面快捷访问

人教A版数学必修一岳阳一中年高一第一次阶段考试VIP免费

人教A版数学必修一岳阳一中年高一第一次阶段考试_第1页
1/6
人教A版数学必修一岳阳一中年高一第一次阶段考试_第2页
2/6
人教A版数学必修一岳阳一中年高一第一次阶段考试_第3页
3/6
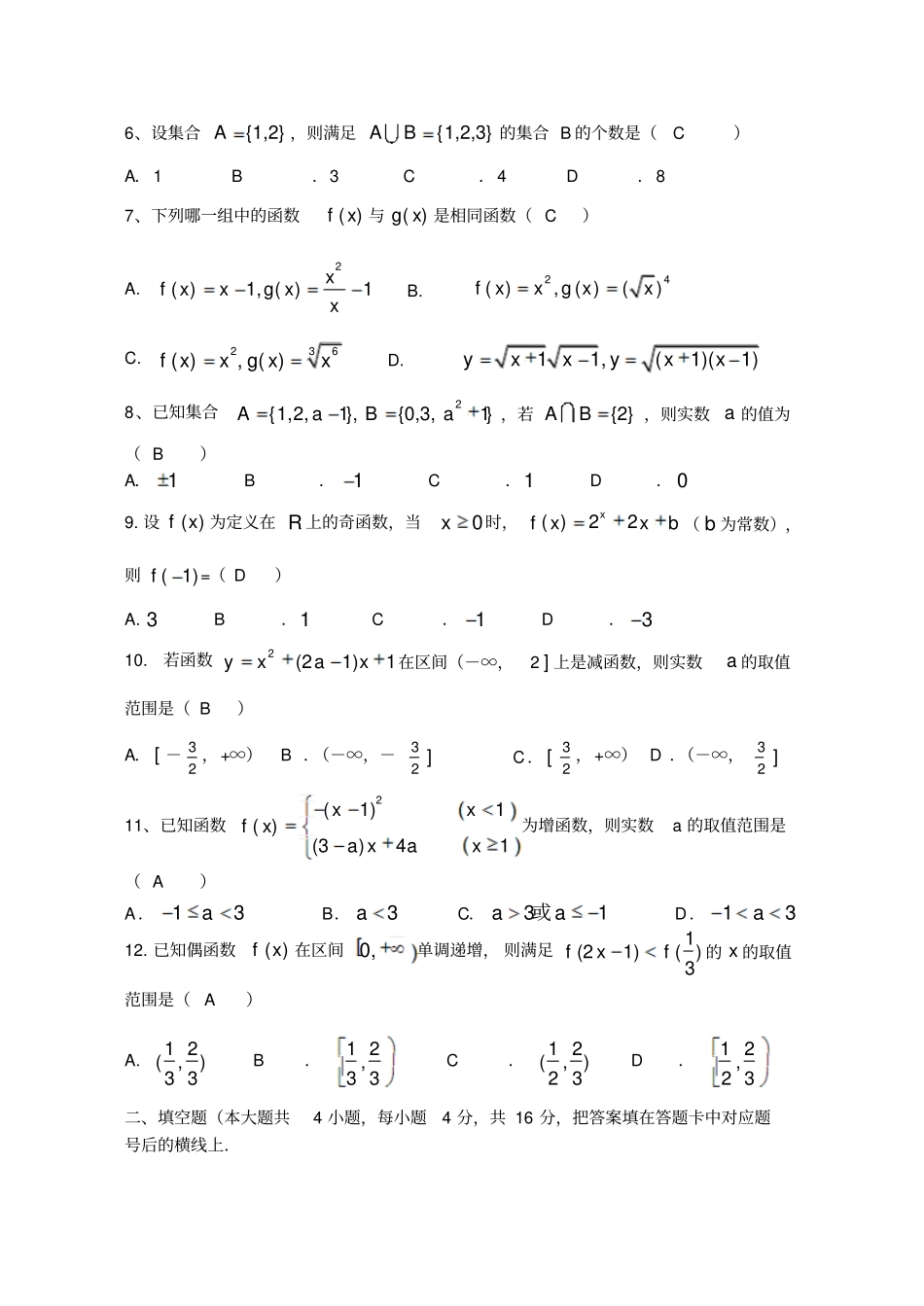
高中数学学习材料(灿若寒星精心整理制作)岳阳县一中2015年高一第一次阶段考试数学试题分值:120分时量:120分钟命题人:彭小霞审题人:杨育球一、选择题(本大题共12小题,每小题4分,共48分.在每小题给出的四个选项中,只有一项是符合题目要求的.)1、设{|9}Axx是小于的正整数,{3,4,5,6}B,则ACB等于(D)A.{1,2,3,4,5,6}B.{7,8}C.{4,5,6,7,8}D.{1,2,7,8}2.下列函数中,在区间0,1上是增函数的是(C)A.xy3B.xy1C.xyD.42xy3、函数11yxx是(D)A.奇函数B.偶函数C.既是奇函数又是偶函数D.非奇非偶函数4.已知集合{(,)|2},{(,)|4}MxyxyNxyxy,则集合MN为(D)A.3,1xyB.(3,1)C.{3,1}D.{(3,1)}5.已知56()(2)6xxfxfxx,则(3)f为(A)A.2B.3C.4D.56、设集合{1,2}A,则满足{1,2,3}AB的集合B的个数是(C)A.1B.3C.4D.87、下列哪一组中的函数()fx与()gx是相同函数(C)A.2()1,()1xfxxgxxB.24(),()()fxxgxxC.326(),()fxxgxxD.11,(1)(1)yxxyxx8、已知集合2{1,2,1},{0,3,1}AaBa,若{2}AB,则实数a的值为(B)A.1B.1C.1D.09.设()fx为定义在R上的奇函数,当0x时,()22xfxxb(b为常数),则(1)f=(D)A.3B.1C.1D.310.若函数2(21)1yxax在区间(-∞,2]上是减函数,则实数a的取值范围是(B)A.[-23,+∞)B.(-∞,-23]C.[23,+∞)D.(-∞,23]11、已知函数2(1)1()(3)41xxfxaxax为增函数,则实数a的取值范围是(A)A.13aB.3aC.31aa或D.13a12.已知偶函数()fx在区间0,单调递增,则满足1(21)()3fxf的x的取值范围是(A)A.12(,)33B.12,33C.12(,)23D.12,23二、填空题(本大题共4小题,每小题4分,共16分,把答案填在答题卡中对应题号后的横线上.13.函数1xyx的定义域为__1,00,_______.14.计算120331316(1)(3)()486416.15、已知221,21AyyxxBxyx,则AB1,02.16.给出定义:若1122mxm(其中m为整数),则m叫做离实数x最近的整数,记作x,即xm.在此基础上给出下列关于函数()fxxx的四个命题:①函数()yfx的定义域是R,值域是11(,]22;②函数()yfx的图像关于y轴对称;③函数()yfx的图像关于坐标原点对称;④函数()yfx在11(,]22上是增函数;则其中正确命题是_①_④(填序号).三、解答题(本大题共6小题,共56分,解答应写出文字说明、证明过程或演算步骤.)17.(本小题8分)已知集合16Axx,29Bxx.(1)分别求:AB,RACB;(2)已知1axaxC,若BC,求实数a的取值范围.解:(1)2,6,()|96或RABACBxxx(2)由219aa,得28a18.(本小题8分)已知二次函数fx满足12fxfxxxR,且01f。(1)求fx的解析式;(2)当[2,4]x时,求()fx的值域.解:(1)设2()(0)fxaxbxca代入(1)()2fxfxx和(0)1f并化简得22()1axabxxRc,21,1,1,()1abcfxxx(2)3[,13]4y19.(本小题8分)已知函数1()2fxxx(1)判断函数()fx的奇偶性;(2)判断函数()fx在(1,)上是增函数还是减函数,并证明。解:(1)函数1()2fxxx的定义域为0xx关于原点对称,111(-)=2(-)+=-2-=-(+)=-,-fxxxxfxxxxQ∴函数1=2+fxxx为奇函数。(2)函数fx在1,+上是增函数,证明如下:任取12,1,+xx,不妨设120,>0,xxxxxx12()-<0fxfx即120,22()()2()2fxxxxx又f(x)为奇函数,∴2()()2fxfxxx,∴f(x)=x2+2x,∴m=2y=f(x)的图象如右所示(2)由(1)知f(x)=222(0)0(0)2(0)xxxxxxx,由图象可知,()fx在[-1,1]上单调递增,要使()fx在[2a-1,a+1]上单调递增,只需12111211aaaa解之得10a21.(本小题10分)已知三个集合2{|320}Axxx,2{|10}Bxxaxa,2,{|20},Cxxbx问同时满足BA,ACA的实数,ab是否存在?若存在,求出,ab的值,若不存在,请说明理由。解:23201,2,110AxxxBxxxaQ,又BA,11a,即2a,,ACACAQU,则C中的元素有以下三种情况:①若C时,即方程220xbx无实根,280,2222bb②若1C...

1、当您付费下载文档后,您只拥有了使用权限,并不意味着购买了版权,文档只能用于自身使用,不得用于其他商业用途(如 [转卖]进行直接盈利或[编辑后售卖]进行间接盈利)。
2、本站所有内容均由合作方或网友上传,本站不对文档的完整性、权威性及其观点立场正确性做任何保证或承诺!文档内容仅供研究参考,付费前请自行鉴别。
3、如文档内容存在违规,或者侵犯商业秘密、侵犯著作权等,请点击“违规举报”。

碎片内容

人教A版数学必修一岳阳一中年高一第一次阶段考试

您可能关注的文档

爱的疯狂+ 关注
实名认证
内容提供者

该用户很懒,什么也没介绍

确认删除?
VIP
微信客服
  • 扫码咨询
会员Q群
  • 会员专属群点击这里加入QQ群
客服邮箱
回到顶部