电脑桌面
添加小米粒文库到电脑桌面
安装后可以在桌面快捷访问

212二次根式的乘除课后练习VIP免费

212二次根式的乘除课后练习_第1页
1/2
212二次根式的乘除课后练习_第2页
2/2
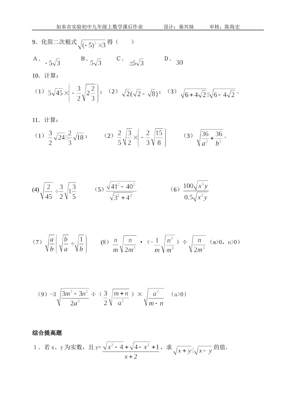
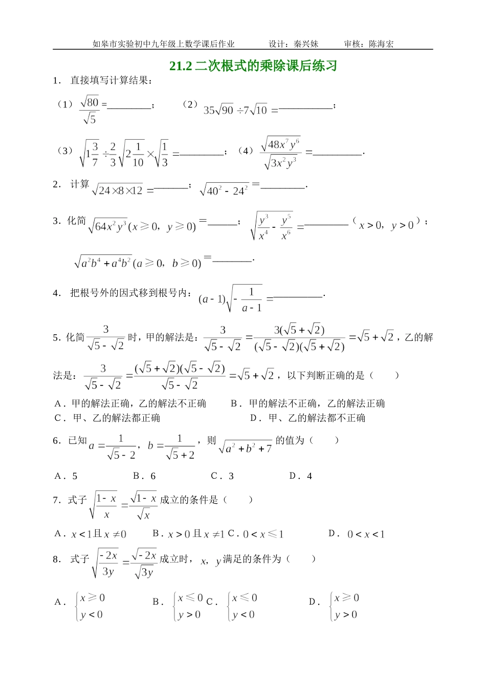
如皋市实验初中九年级上数学课后作业设计:秦兴妹审核:陈海宏21.2二次根式的乘除课后练习1.直接填写计算结果:(1)=_________;(2)___________;(3)_________;(4)__________.2.计算_______;=_________.3.化简=______;_________();=________.4.把根号外的因式移到根号内:__________.5.化简时,甲的解法是:,乙的解法是:,以下判断正确的是()A.甲的解法正确,乙的解法不正确B.甲的解法不正确,乙的解法正确C.甲、乙的解法都正确D.甲、乙的解法都不正确6.已知,则的值为()A.5B.6C.3D.47.式子成立的条件是()A.且B.且C.D.8.式子成立时,满足的条件为()A.B.C.D.如皋市实验初中九年级上数学课后作业设计:秦兴妹审核:陈海宏9.化简二次根式得()A.B.C.D.10.计算:(1);(2);(3).11.计算:(1);(2)(3).(4)(5)(6)(7)(8)·(-)÷(m>0,n>0)(9)-3÷()×(a>0)综合提高题1.若x、y为实数,且y=,求的值.

1、当您付费下载文档后,您只拥有了使用权限,并不意味着购买了版权,文档只能用于自身使用,不得用于其他商业用途(如 [转卖]进行直接盈利或[编辑后售卖]进行间接盈利)。
2、本站所有内容均由合作方或网友上传,本站不对文档的完整性、权威性及其观点立场正确性做任何保证或承诺!文档内容仅供研究参考,付费前请自行鉴别。
3、如文档内容存在违规,或者侵犯商业秘密、侵犯著作权等,请点击“违规举报”。

碎片内容

212二次根式的乘除课后练习

您可能关注的文档

精品中小学文库+ 关注
实名认证
内容提供者

精品资料,应有尽有

相关文档

确认删除?
VIP
微信客服
  • 扫码咨询
会员Q群
  • 会员专属群点击这里加入QQ群
客服邮箱
回到顶部