电脑桌面
添加小米粒文库到电脑桌面
安装后可以在桌面快捷访问

作差法与作商法比较大小VIP免费

作差法与作商法比较大小_第1页
1/11
作差法与作商法比较大小_第2页
2/11
作差法与作商法比较大小_第3页
3/11
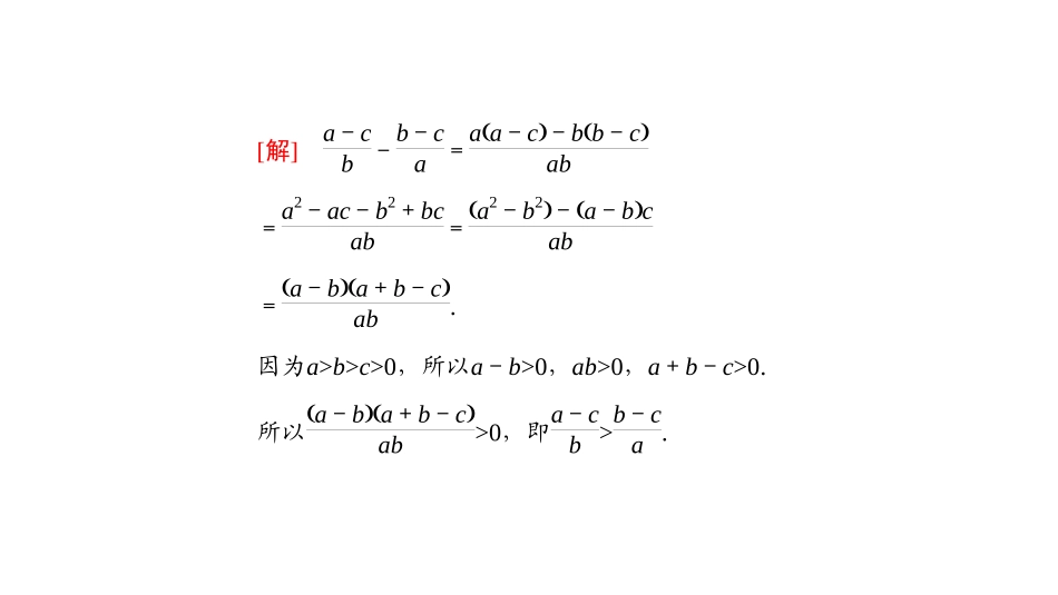
类型二利用作差法比较大小[例2]已知a>b>c>0,试比较a-cb与b-ca的大小.[解]a-cb-b-ca=aa-c-bb-cab=a2-ac-b2+bcab=a2-b2-a-bcab=a-ba+b-cab.因为a>b>c>0,所以a-b>0,ab>0,a+b-c>0.所以a-ba+b-cab>0,即a-cb>b-ca.[点评]本题采用“作差法”比较两个代数式的大小,关键是作差变形后能准确地判断符号.判断符号要注意配方、因式分解、有理化、通分等方法的灵活使用.“作差法”的一般步骤:①作差;②变形;③判断符号;④得出结论.变式训练2已知a>0,试比较a与1a的大小.解:∵a-1a=a2-1a=a-1a+1a,∵a>0,∴当a>1时,a-1a+1a>0,有a>1a;当a=1时,a-1a+1a=0,有a=1a;当01时,a>1a;当a=1时,a=1a;当00∴2x2+3x+5>5x2+3x+2=6x2+3x+5–5x2-3x-2=x2+3•解:6x2+3x+5–(5x2+3x+2)把整体看着实数轴上的一个a把整体看着实数轴上的一个b作差整理变形定号下结论类型三利用作商法比较大小[例3]设a>0,b>0,且a≠b,比较aabb与abba的大小.[分析]因为a>0,b>0,所以我们只要比较aabbabba与1的大小即可.[解]aabbabba=aa-b·bb-a=(ab)a-b,当a>b>0时,ab>1,且a-b>0,∴(ab)a-b>1.即aabb>abba;当b>a>0时,01.即aabb>abba.综上知:aabb>abba.变式训练3若a>0,比较aa与3a的大小.解:aa3a=(a3)a当03时,a3>1,(a3)a>1,aa>3a.1.设M=x2,N=x-1,则M与N的大小关系为()A.M>NB.M=NC.M0∴M>N答案:M>N

1、当您付费下载文档后,您只拥有了使用权限,并不意味着购买了版权,文档只能用于自身使用,不得用于其他商业用途(如 [转卖]进行直接盈利或[编辑后售卖]进行间接盈利)。
2、本站所有内容均由合作方或网友上传,本站不对文档的完整性、权威性及其观点立场正确性做任何保证或承诺!文档内容仅供研究参考,付费前请自行鉴别。
3、如文档内容存在违规,或者侵犯商业秘密、侵犯著作权等,请点击“违规举报”。

碎片内容

作差法与作商法比较大小

确认删除?
VIP
微信客服
  • 扫码咨询
会员Q群
  • 会员专属群点击这里加入QQ群
客服邮箱
回到顶部