电脑桌面
添加小米粒文库到电脑桌面
安装后可以在桌面快捷访问

四川省成都市高一数学10月月考试卷VIP免费

四川省成都市高一数学10月月考试卷_第1页
1/5
四川省成都市高一数学10月月考试卷_第2页
2/5
四川省成都市高一数学10月月考试卷_第3页
3/5
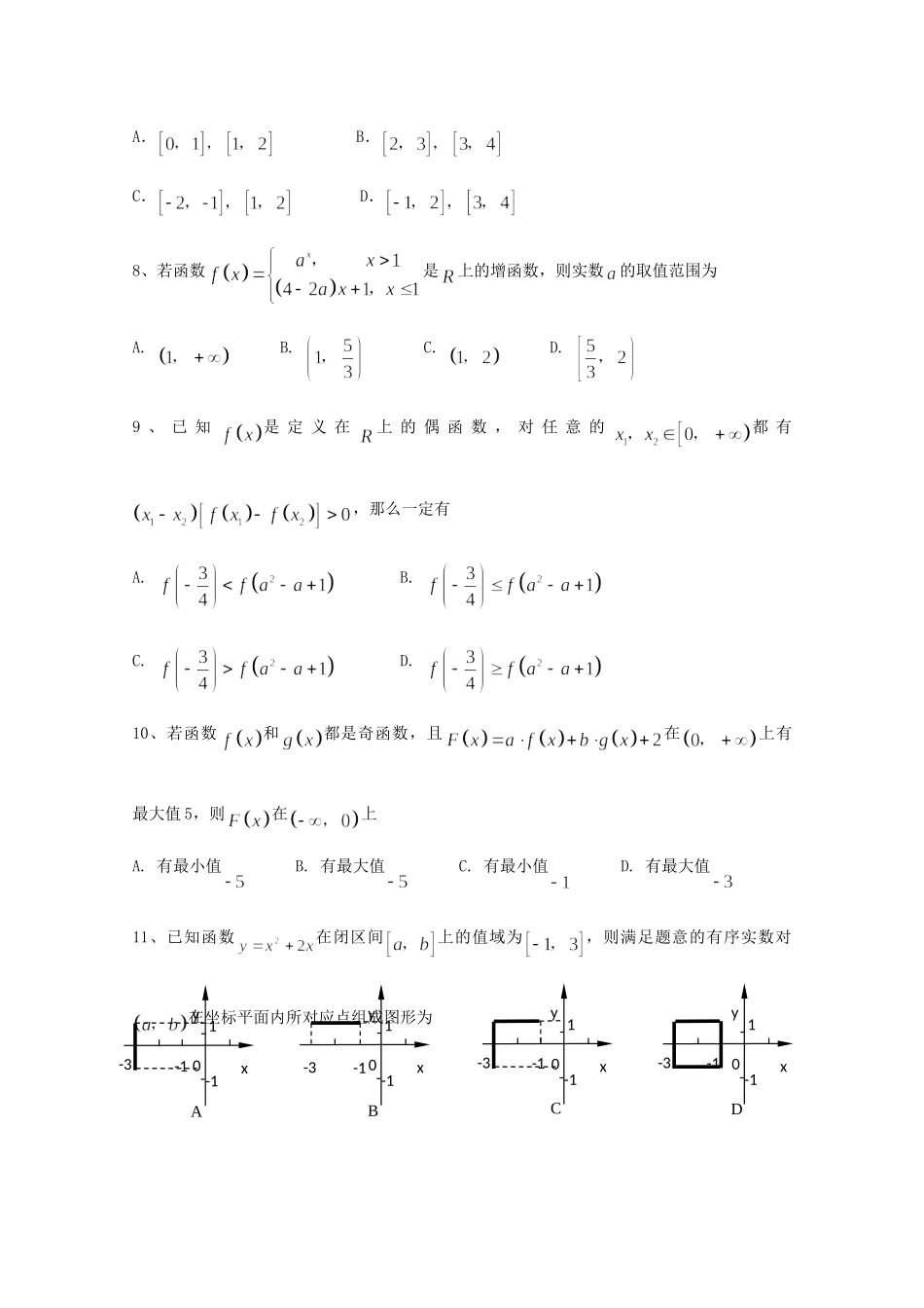
四川省成都市2017-2018学年高一数学10月月考试题(无答案)(满分150,考试时间120分钟)一、选择题:(每小题5分,共60分,在每小题给出的四个选项中,只有一项是符合要求,请将答案填涂在答题卡上)1、下列说法正确的是A.很小的实数可以构成集合B.=C.自然数集中最小的数不是D.空集是任何集合的真子集2、设集合,则中的元素个数是A.15B.16C.10D.113、已知,那么的值是A.B.C.D.4、下列四组函数,表示同一函数的是A.,B.,C.,D.,5、函数的图象与直线的交点个数是A.至多有一个B.至少有一个C.有且仅有一个D.有无数个6、若,则实数的取值范围是A.B.C.D.7、若函数的定义域为,值域为,则函数的定义域和值域分别是A.B.C.D.8、若函数是上的增函数,则实数的取值范围为A.B.C.D.9、已知是定义在上的偶函数,对任意的都有,那么一定有A.B.C.D.10、若函数和都是奇函数,且在上有最大值5,则在上A.有最小值B.有最大值C.有最小值D.有最大值11、已知函数在闭区间上的值域为,则满足题意的有序实数对在坐标平面内所对应点组成图形为1-1-10xy--A-31-1-10xy--B-31-1-10xy--C-31-1-10xy--D-312、定义在上的函数满足,且图象关于点对称,当时,,则A.B.C.D.二、填空题:(每小题5分,共20分.请将答案填写在答题卡上)13、函数的定义域为.14、已知函数的图象一定过点,则点的坐标是.15、已知函数是奇函数,且,则.16、已知定义在上的奇函数,当时,,若对任意的,不等式恒成立,则实数的取值范围是.三、解答题:(17题10分,18~22每小题12分,共70分.解答应写出文字说明,证明过程或演算步骤)17、已知集合,若,,(1)用列举法表示集合和集合;(2)试求的值.18、计算:(1);(2).19、某商品在近30天内每件的销售价格(元)与时间(天)的函数关系是,该商品的日销售量(件)与时间(天)的函数关系是.(1)求这种商品的日销售金额与时间的函数解析式;(2)求日销售金额的最大值,并指出日销售金额最大的一天是30天中的第几天?20、已知函数.(1)求定义域和值域;(2)若,求实数的取值范围.21、已知是定义在上的偶函数,当时,,(1)求的解析式;(2)画出的图象;(3)若方程有4个解,求实数的取值范围.22、已知函数,对于任意非零实数,满足,且当时,(1)求与的值;(2)判断并证明的奇偶性和单调性;(3)求不等式的解集.xyo

1、当您付费下载文档后,您只拥有了使用权限,并不意味着购买了版权,文档只能用于自身使用,不得用于其他商业用途(如 [转卖]进行直接盈利或[编辑后售卖]进行间接盈利)。
2、本站所有内容均由合作方或网友上传,本站不对文档的完整性、权威性及其观点立场正确性做任何保证或承诺!文档内容仅供研究参考,付费前请自行鉴别。
3、如文档内容存在违规,或者侵犯商业秘密、侵犯著作权等,请点击“违规举报”。

碎片内容

四川省成都市高一数学10月月考试卷

雨丝书吧+ 关注
实名认证
内容提供者

乐于和他人分享知识,从事历史教学,热爱教育,高度负责。

确认删除?
VIP
微信客服
  • 扫码咨询
会员Q群
  • 会员专属群点击这里加入QQ群
客服邮箱
回到顶部