电脑桌面
添加小米粒文库到电脑桌面
安装后可以在桌面快捷访问

光纤基础知识点VIP免费

光纤基础知识点_第1页
1/5
光纤基础知识点_第2页
2/5
光纤基础知识点_第3页
3/5
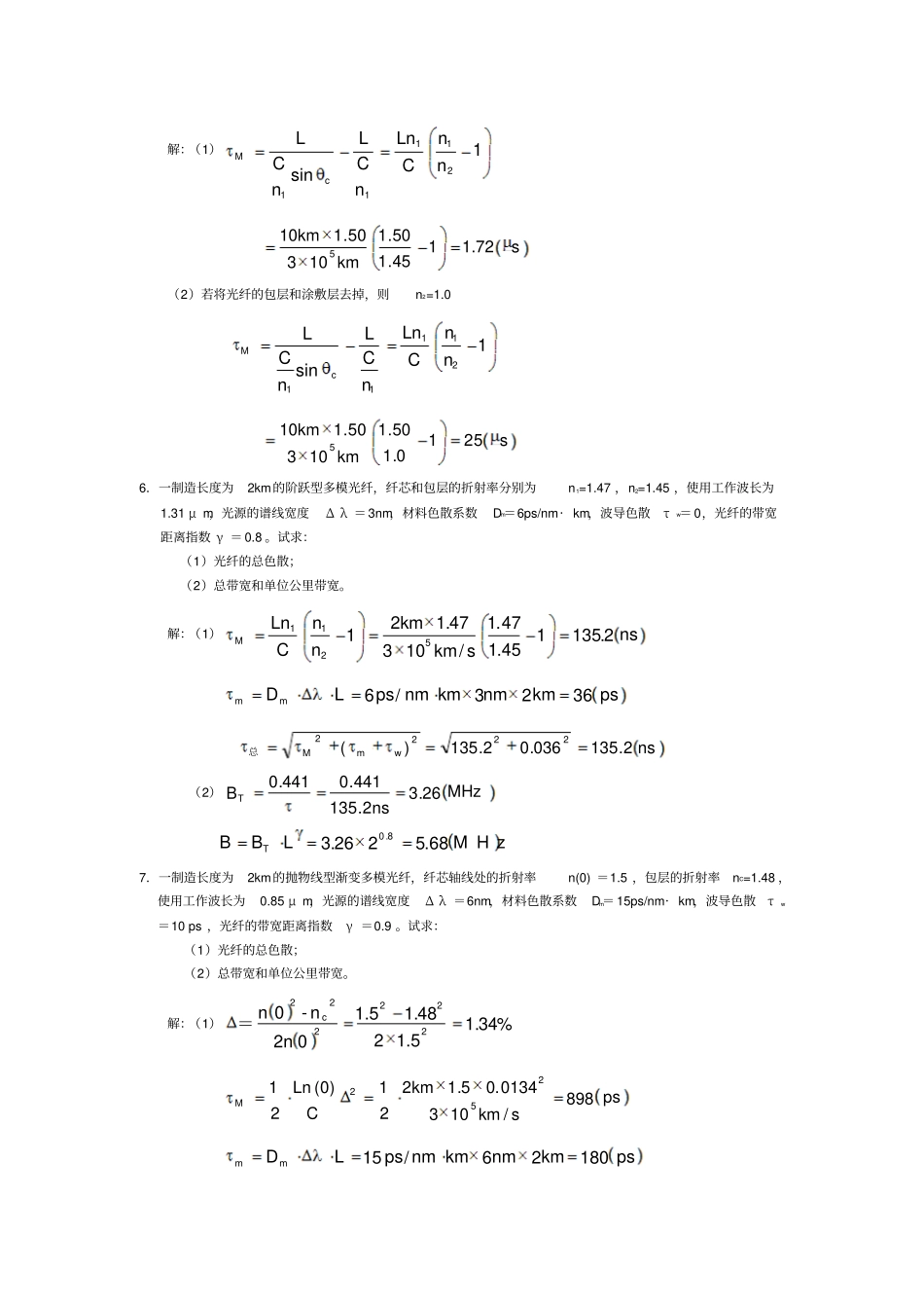
1、第一根光纤是什么时候出现的?其损耗是多少?答:第一根光纤大约是1950年出现的。传输损耗高达1000dB/km左右。2、试述光纤通信系统的组成及各部分的关系。答:光纤通信系统主要由光发送机、光纤光缆、中继器和光接收机组成。系统中光发送机将电信号转换为光信号,并将生成的光信号注入光纤光缆,调制过的光信号经过光纤长途传输后送入光接收机,光接收机将光纤送来的光信号还原成原始的电信号,完成信号的传送。中继器就是用于长途传输时延长光信号的传输距离。3、光纤通信有哪些优缺点?答:光纤通信具有容量大,损耗低、中继距离长,抗电磁干扰能力强,保密性能好,体积小、重量轻,节省有色金属和原材料等优点;但它也有抗拉强度低,连接困难,怕水等缺点。1.光纤是由哪几部分组成的?各部分有何作用?答:光纤是由折射率较高的纤芯、折射率较低的包层和外面的涂覆层组成的。纤芯和包层是为满足导光的要求;涂覆层的作用是保护光纤不受水汽的侵蚀和机械擦伤,同时增加光纤的柔韧性。4.简述光纤的导光原理。答:光纤之所以能够导光就是利用纤芯折射率略高于包层折射率的特点,使落于数值孔径角)内的光线都能收集在光纤中,并在芯包边界以内形成全反射,从而将光线限制在光纤中传播。7.均匀光纤纤芯和包层的折射率分别为n1=1.50,n2=1.45,光纤的长度L=10Km。试求:(1)光纤的相对折射率差Δ;(2)数值孔径NA;(3)若将光纤的包层和涂敷层去掉,求裸光纤的NA和相对折射率差Δ。解:(1)%3.31.5245.11.52nn-n222212221=(2)0.390.03321.521nNA(3)若将光纤的包层和涂敷层去掉,则相当于包层的折射率n2=1,则%1.281.5211.52nn-n222212221=1.120.28121.521nNA而sin0NA最大为1,所以说只要光纤端面的入射角在90O以内,就可以在光纤中形成全反射。8.已知阶跃型光纤,纤芯折射率n1=1.50,相对折射率差Δ=0.5%,工作波长λ0=1.31μm,试求:(1)保证光纤单模传输时,光纤的纤芯半径a应为多大?(2)若a=5μm,保证光纤单模传输时,n2应如何选择?解:(1)因为是阶跃型光纤,所以归一化截止频率Vc=2.405;mmnaanV34.3231.1%5.0250.1405.222405.2405.2220110(2)若a=5μm,保证光纤单模传输时,4967.1%22.0215.121nn0.22%2nn-n%22.02231.1550.1405.222405.2405.22212212221220110=mmananV1.简述石英系光纤损耗产生的原因,光纤损耗的理论极限值是由什么决定的?答:(1)(2)光纤损耗的理论极限值是由紫外吸收损耗、红外吸收损耗和瑞利散射决定的。2.当光在一段长为10km光纤中传输时,输出端的光功率减小至输入端光功率的一半。求:光纤的损耗系数α。解:设输入端光功率为P1,输出端的光功率为P2。则P1=2P2光纤的损耗系数kmdBPPkmPPL/3.02lg1010lg102221=3.光纤色散产生的原因有哪些?对数字光纤通信系统有何危害?答:(1)按照色散产生的原因,光纤的色散主要分为:模式(模间)色散、材料色散、波导色散和极化色散。(2)在数字光纤通信系统中,色散会引起光脉冲展宽,严重时前后脉冲将相互重叠,形成码间干扰,增加误码率,影响了光纤的传输带宽。因此,色散会限制光纤通信系统的传输容量和中继距离。4.为什么单模光纤的带宽比多模光纤的带宽大得多?答:光纤的带宽特性是在频域中的表现形式,而色散特性是在时域中的表现形式,即色散越大,带宽越窄。由于光纤中存在着模式色散、材料色散、波导色散和极化色散四种,并且模式色散>>材料色散>波导色散>极化色散。由于极化色散很小,一般忽略不计。在多模光纤中,主要存在模式色散、材料色散和波导色散;单模光纤中不存在模式色散,而只存在材料色散和波导色散。因此,多模光纤的色散比单模光纤的色散大得多,也就是单模光纤的带宽比多模光纤宽得多。5.均匀光纤纤芯和包层的折射率分别为n1=1.50,n2=1.45,光纤的长度L=10km。试求:(1)子午光线的最大时延差;(2)若将光纤的包层和涂敷层去掉,求子午光线的最大时延差。光纤损耗吸收损耗本征吸收杂质吸收原子缺陷吸收紫外吸收红外吸收氢氧根(OH-)吸收过渡金属离子吸收瑞利散射损耗结构不完善引起的散射损耗散射损耗弯曲损耗光纤弯曲损耗光纤微弯损耗...

1、当您付费下载文档后,您只拥有了使用权限,并不意味着购买了版权,文档只能用于自身使用,不得用于其他商业用途(如 [转卖]进行直接盈利或[编辑后售卖]进行间接盈利)。
2、本站所有内容均由合作方或网友上传,本站不对文档的完整性、权威性及其观点立场正确性做任何保证或承诺!文档内容仅供研究参考,付费前请自行鉴别。
3、如文档内容存在违规,或者侵犯商业秘密、侵犯著作权等,请点击“违规举报”。

碎片内容

光纤基础知识点

确认删除?
VIP
微信客服
  • 扫码咨询
会员Q群
  • 会员专属群点击这里加入QQ群
客服邮箱
回到顶部