电脑桌面
添加小米粒文库到电脑桌面
安装后可以在桌面快捷访问

常用的数列求和方法VIP免费

常用的数列求和方法_第1页
1/3
常用的数列求和方法_第2页
2/3
常用的数列求和方法_第3页
3/3
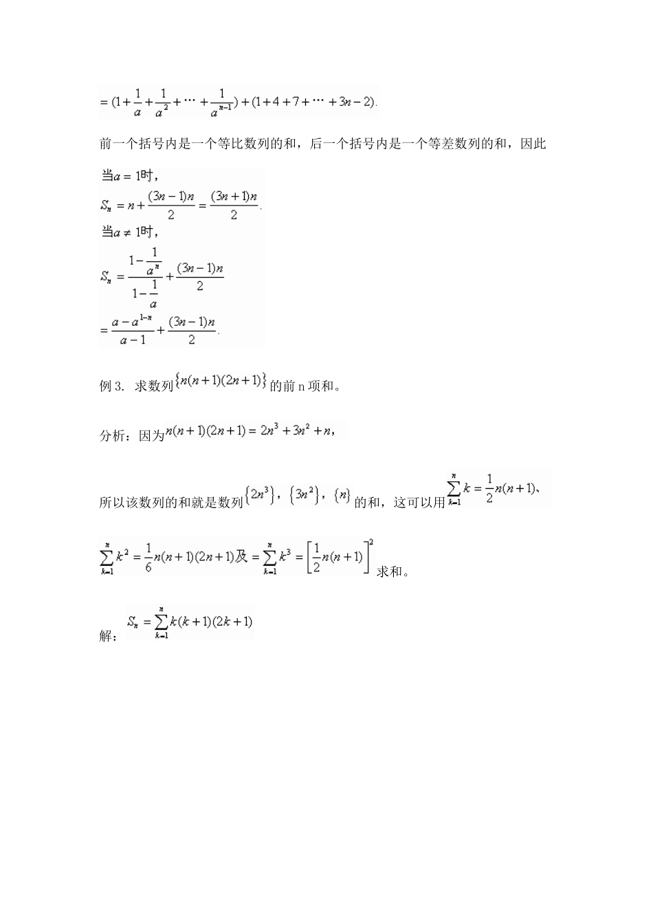
常用的数列求和方法本文向高一同学介绍数列求和的常用方法。1.错位相减例1.分析:由题可知,的通项是等差数列的通项与等比数列的通项之积,符合错位相减法的特征,可通过错位相减转化为等比数列的求和来解决。2.分组例2.求数列的前n项和:分析:所给数列是一个等差数列与一个等比数列的和,故可拆开分组求和。解:前一个括号内是一个等比数列的和,后一个括号内是一个等差数列的和,因此例3.求数列的前n项和。分析:因为所以该数列的和就是数列的和,这可以用求和。解:3.倒序相加例4.求证:证明:把(1)式右边倒转过来,得以上的四个例子肯定不能概全,但毕竟是一个个可参考的思路。

1、当您付费下载文档后,您只拥有了使用权限,并不意味着购买了版权,文档只能用于自身使用,不得用于其他商业用途(如 [转卖]进行直接盈利或[编辑后售卖]进行间接盈利)。
2、本站所有内容均由合作方或网友上传,本站不对文档的完整性、权威性及其观点立场正确性做任何保证或承诺!文档内容仅供研究参考,付费前请自行鉴别。
3、如文档内容存在违规,或者侵犯商业秘密、侵犯著作权等,请点击“违规举报”。

碎片内容

常用的数列求和方法

您可能关注的文档

精品文档+ 关注
实名认证
内容提供者

中小学学习资料大全

确认删除?
VIP
微信客服
  • 扫码咨询
会员Q群
  • 会员专属群点击这里加入QQ群
客服邮箱
回到顶部