电脑桌面
添加小米粒文库到电脑桌面
安装后可以在桌面快捷访问

课内练习4-整式的乘法VIP免费

课内练习4-整式的乘法课内练习4-整式的乘法
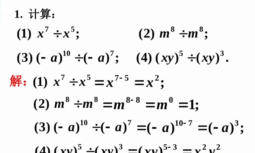
1. 计算:;)1(57xx ;)2(88mm ;)()()3(710aa.)()()4(35xyxy解:57)1(xx ;257xx88)2(mm ;1088mm710)()()3(aa;)()(3710aa35)()()4(xyxy.)(2235yxxy2. 计算:);5(10)1(3abab;68)2(232abba解:)5(10)1(3abab1311510ba23268)2(abba231268ba;22b;34 ab2. 计算:);3(21)3(3242yxyx).103()106()4(58解:3422321yx581036;7 y;20001023 )3(21)3(3242yxyx)103()106()4(583. 计算:;)56()1(aaab.5)1015()2(22xyxyyx解:111156aba12111112510515yxyx;56  b.23yx aaab)56()1(xyxyyx5)1015()2(22

1、当您付费下载文档后,您只拥有了使用权限,并不意味着购买了版权,文档只能用于自身使用,不得用于其他商业用途(如 [转卖]进行直接盈利或[编辑后售卖]进行间接盈利)。
2、本站所有内容均由合作方或网友上传,本站不对文档的完整性、权威性及其观点立场正确性做任何保证或承诺!文档内容仅供研究参考,付费前请自行鉴别。
3、如文档内容存在违规,或者侵犯商业秘密、侵犯著作权等,请点击“违规举报”。

碎片内容

课内练习4-整式的乘法

您可能关注的文档

精品中小学资料+ 关注
实名认证
内容提供者

精品文档

相关文档

确认删除?
VIP
微信客服
  • 扫码咨询
会员Q群
  • 会员专属群点击这里加入QQ群
客服邮箱
回到顶部