电脑桌面
添加小米粒文库到电脑桌面
安装后可以在桌面快捷访问

提高练习-整式的加减VIP免费

提高练习-整式的加减提高练习-整式的加减
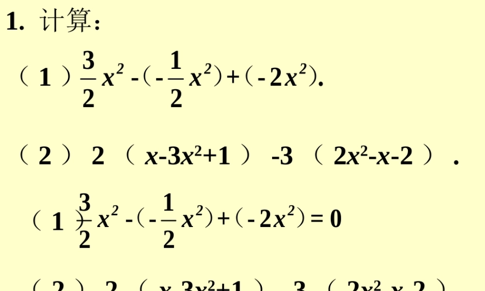
1. 计算:( 1 )( 2 ) 2 ( x-3x2+1 ) -3 ( 2x2-x-2 ) .31- -- 222()()222xx+x. ( 1 )31- -- 2022()()222xx+x=( 2 ) 2 ( x-3x2+1 ) -3 ( 2x2-x-2 ) =5x-12x2+82. ( 1 )求整式 6a+b 与 -2a-3b+1 的和 ( 2 )求整式 3a2b-ab2 的 5 倍与 ab2+3a2b 的差 .( 1 )( 6a+b ) + ( -2a-3b+1 ) =4a-2b+1( 2 )( 3a2b-ab2 ) ×5 - ( ab2+3a2b ) =12a2b-6ab23. 已知某三角形第一条边长为( 2a-b )cm ,第二条边比第一条边长( a+b ) cm ,第三条边比第一条边的 2 倍少 b( cm ) . 求这个三角形的周长 .第一条边: 2a-b第二条边: 2a-b+ ( a+b ),即 3a第三条边: 2× ( 2a-b ) -b ,即 4a-3b周长: 2a-b+3a+4a-3b=9a-4b

1、当您付费下载文档后,您只拥有了使用权限,并不意味着购买了版权,文档只能用于自身使用,不得用于其他商业用途(如 [转卖]进行直接盈利或[编辑后售卖]进行间接盈利)。
2、本站所有内容均由合作方或网友上传,本站不对文档的完整性、权威性及其观点立场正确性做任何保证或承诺!文档内容仅供研究参考,付费前请自行鉴别。
3、如文档内容存在违规,或者侵犯商业秘密、侵犯著作权等,请点击“违规举报”。

碎片内容

提高练习-整式的加减

您可能关注的文档

确认删除?
VIP
微信客服
  • 扫码咨询
会员Q群
  • 会员专属群点击这里加入QQ群
客服邮箱
回到顶部