电脑桌面
添加小米粒文库到电脑桌面
安装后可以在桌面快捷访问

中学届高三数学一轮复习 数列的综合应用课件VIP免费

中学届高三数学一轮复习 数列的综合应用课件中学届高三数学一轮复习 数列的综合应用课件中学届高三数学一轮复习 数列的综合应用课件中学届高三数学一轮复习 数列的综合应用课件中学届高三数学一轮复习 数列的综合应用课件
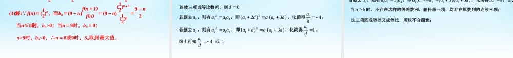
数列的综合应用高考原题赏析(2012 江苏 6)现有 10 个数,它们能构成一个以 1 为首项,-3 为公比的等比数列,若从这 10 个数中随机抽取一个数,则它小于 8 的概率是 . 解:组成满足条件的数列为: 其中小于8 的取法共有6 种,因此取出的这个数小于8 的概率为 53 . .19683,6561,2187,729,243,81,27.9,3,1 从中随机取出一个数共有取法10种, 一,学习目标: 1. 通过构造等差、等比数列模型,运用数列的公式、性质解决简单的实际问题 .2. 对数列与其他知识综合性的考查也高于考试说明的要求,另外还要注重数列在生产、生活中的应用.要点梳理1.数列的综合应用 数列的综合应用一是指综合运用数列的各种知识和方法求解问题,二是数列与其他数学内容相联系的综合问题.解决此类问题应注意数学思想及方法的运用与体会. (1)数列是一种特殊的函数,解数列题要注意运用方程与函数的思想与方法. (2)转化与化归思想是解数列有关问题的基本思想方法,复杂的数列问题经常转化为等差、等比数列或常见的特殊数列问题. (3)由特殊到一般及由一般到特殊的思想是解决数列问题的重要思想.已知数列的前若干项求通项,由有限的特殊事例推测出一般性的结论,都是利用此法实现的. (4)分类讨论思想在数列问题中常会遇到,如等比数列中,经常要对公比进行讨论;由 Sn 求 an 时,要对 n=1 或 n≥2 进行分类讨论. 要点梳理2.数列的实际应用 数列的应用问题是中学数学教学与研究的一个重要内容,解答应用问题的核心是建立数学模型. (1)建立数学模型时,应明确是等差数列模型、等比数列模型,还是递推数列模型,是求 an 还是求 Sn. (2)分期付款中的有关规定 ①在分期付款中,每月的利息均按复利计算; ②在分期付款中规定每期所付款额相同; ③在分期付款时,商品售价和每期所付款额在贷款全部付清前会随时间的推移而不断增值; ④各期付款连同在最后一次付款时所生的利息之和,等于商品售价及从购买时到最后一次付款的利息之和. 基础回顾 1.若 Sn 是等差数列{an}的前 n 项和,且 S8-S3=10,则 S11 的值为________. 22 2.在等比数列{an}中,an>an+1,且 a7·a11=6,a4+a14=5,则 a6a16=________. 32 3.“嫦娥奔月,举国欢庆”,据科学计算,运载“神六”的“长征二号”系列火箭,在点火第一秒钟通过的路程为 2 km,以后每秒钟通过的路程都增加 2 km,在达到离地面 240 k...

1、当您付费下载文档后,您只拥有了使用权限,并不意味着购买了版权,文档只能用于自身使用,不得用于其他商业用途(如 [转卖]进行直接盈利或[编辑后售卖]进行间接盈利)。
2、本站所有内容均由合作方或网友上传,本站不对文档的完整性、权威性及其观点立场正确性做任何保证或承诺!文档内容仅供研究参考,付费前请自行鉴别。
3、如文档内容存在违规,或者侵犯商业秘密、侵犯著作权等,请点击“违规举报”。

碎片内容

中学届高三数学一轮复习 数列的综合应用课件

您可能关注的文档

雨丝书吧+ 关注
实名认证
内容提供者

乐于和他人分享知识,从事历史教学,热爱教育,高度负责。

确认删除?
VIP
微信客服
  • 扫码咨询
会员Q群
  • 会员专属群点击这里加入QQ群
客服邮箱
回到顶部