电脑桌面
添加小米粒文库到电脑桌面
安装后可以在桌面快捷访问

高考复数试题精选VIP免费

高考复数试题精选_第1页
1/5
高考复数试题精选_第2页
2/5
高考复数试题精选_第3页
3/5
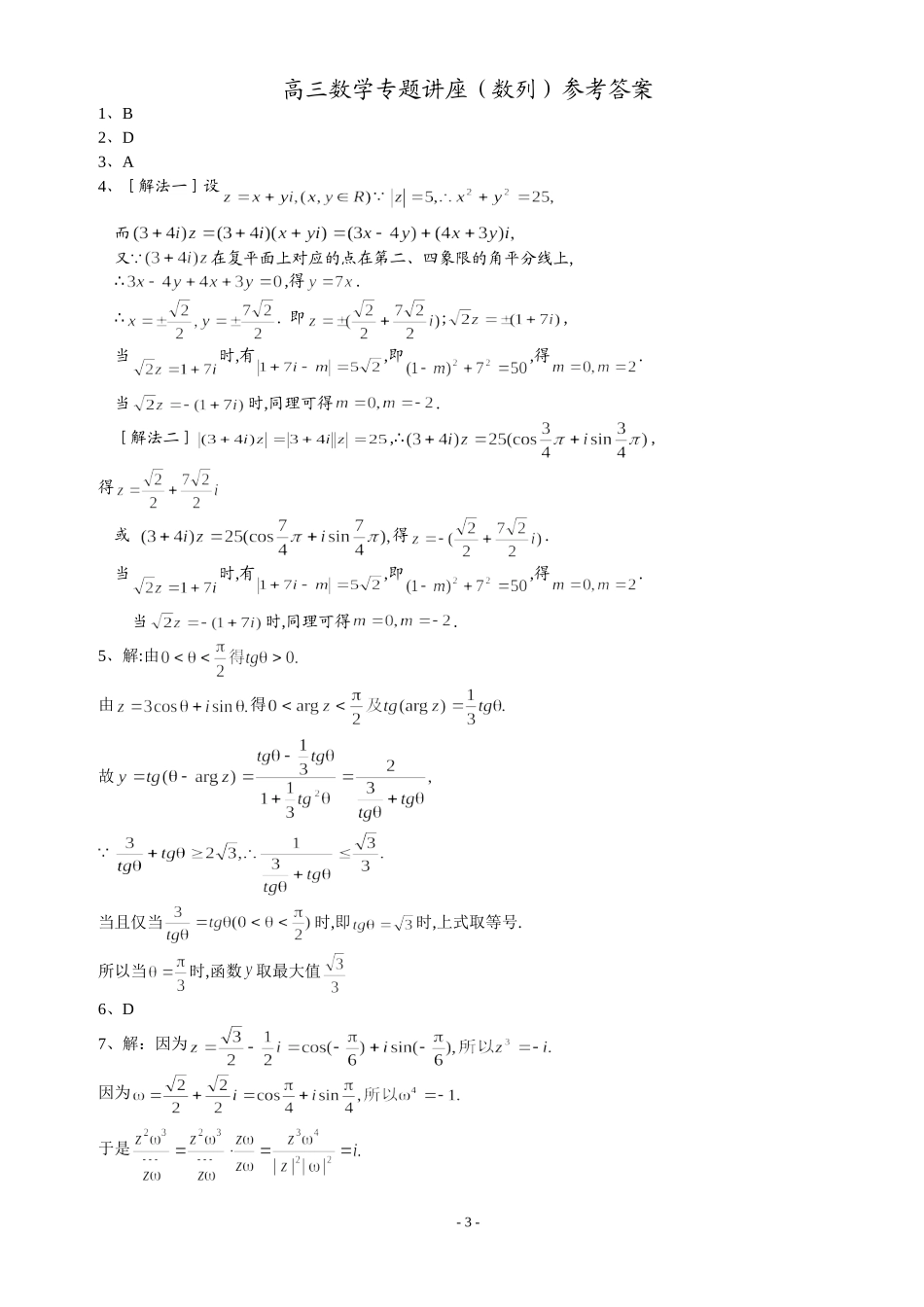
高三数学专题讲座(复数)2001 年 5 月 10 日1、(2000 年)在复平面内,把复数对应的向量按顺时针方向旋转,所得向量对应的复数是(A) (B) (C) (D)2、(2000 年春季)复数则在复平面内的对应点位于(A)第一象限 (B)第二象限 (C)第三象限 (D)第四象限3、(2000 年春季)设复数 z1=2sin +icos在复平面上对应向量,将按顺时针方向旋转后得到向量,对应的复数为 Z2=r(cos+isin),则 tg=(A) (B) (C) (D)4、(2000 年上海)设复数 满足,且在复平面上对应的点在第二、四象限的角平分线上,,求 和的值.5、(1999 年)设复数,求函数的最大值及对应的 的值。6、(1998 年)复数–i 的一个立方根是 i,它的另外两个立方根是(A)(B)(C)(D)7、(1997 年)已知复数 zi3212, 2222 i ,复数 z 、z23 在复平面上所对应的点分别为 P、Q。证明△OPQ 是等腰直角三角形(其中 O 为原点)8、(1996 年)复数 ()()221345ii等于 (A)、1+3 i(B)、1+3 i (C)、13 i (D)13 i9、(1995 年)在复平面上,一个正方形的四个顶点按照逆时针方向依次为 Z1, Z2 ,Z3 ,O(其中 O 是原点),已知 Z2对应复数 Z2=1+3 i。求 Z1和 Z2对应的复数。10、(1994 年)如果复数 z 满足 |z+ i |+ | zi |=2,那么 | z+i+1 |的最小值是 (A)1(B) 2(C)2(D) 511、(1994 年)已知 z=1+i,(1)设= zz234,求的三角形式; (2)如果 zazbzzi2211 ,求实数 a、b 的值。12、(1993 年)设复数 z=cos+isin (0<<),= 1144( )zz,并且||=33,arg< 2, 求 13、(2001 年春季)已知.(Ⅰ)证明;(Ⅱ)设 的辐角为,求的值.- 1 -14、(2000 年上海)复数15、(2000 年上海)已知复数均为实数, 为虚数单位,且对于任意复数。(1)试求的值,并分别写出和用 、表示的关系式;(2)将( 、 )作为点的坐标,(、 )作为点的坐标,上述关系可以看作是坐标平面上点的一个变换:它将平面上的点变到这一平面上的点,当点在直线上移动时,试求点经该变换后得到的点的轨迹方程;(3)是否存在这样的直线:它上面的任一点经上述变换后得到的点仍在该直线上?若存在,试求出所有这些直线;若不存在,则说明理由。- 2 -高三数学专题讲座(数列)参考答案1、B2、D3、A4、[解法一]设 而 又 在复平面上对应的点在...

1、当您付费下载文档后,您只拥有了使用权限,并不意味着购买了版权,文档只能用于自身使用,不得用于其他商业用途(如 [转卖]进行直接盈利或[编辑后售卖]进行间接盈利)。
2、本站所有内容均由合作方或网友上传,本站不对文档的完整性、权威性及其观点立场正确性做任何保证或承诺!文档内容仅供研究参考,付费前请自行鉴别。
3、如文档内容存在违规,或者侵犯商业秘密、侵犯著作权等,请点击“违规举报”。

碎片内容

高考复数试题精选

您可能关注的文档

确认删除?
VIP
微信客服
  • 扫码咨询
会员Q群
  • 会员专属群点击这里加入QQ群
客服邮箱
回到顶部