电脑桌面
添加小米粒文库到电脑桌面
安装后可以在桌面快捷访问

小学数学人教2011课标版一年级11-20各数的写法--课件VIP免费

小学数学人教2011课标版一年级11-20各数的写法--课件小学数学人教2011课标版一年级11-20各数的写法--课件小学数学人教2011课标版一年级11-20各数的写法--课件小学数学人教2011课标版一年级11-20各数的写法--课件小学数学人教2011课标版一年级11-20各数的写法--课件
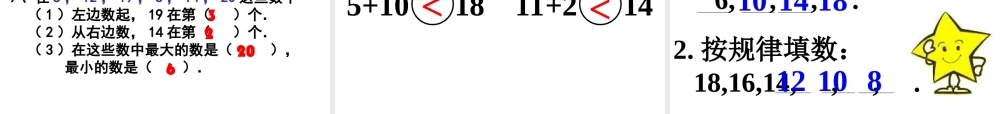
11—20 各数的写法个位十位 10 个一1 个十10 十位 个位 1 1( ) 个十和 ( ) 个一合起来是 11 。1111十一( ) 个十和 ( ) 个一合起来是 12 。1212 十位 个位2 1十二 十位 个位 0 2 ( )个十合起来是 20 。2二十20小结: 从右边起第一位是个位,第二位是十位,有几个十就在十位上写几,有几个一就在个位上写几,先写十位上的数,再写个位上的数。()()十 位 个 位1414十 位 个 位1 717由_个十和 __ 个一 组成的由_个十和_个一 组成的)(()由__个十组成的由__个十组成的1200十 位十 位个 位个 位12比比谁学的最棒( )( )看图写数 .( )( )十位 个位十位 个位1 42 01 62 0( )( )5 5个位十位0个位十位十位写出下面各数 .十六十一十九十四十七二十十位十位十位十位十位个位个位个位个位个位个位1 61111219470练一练 14 20 16 201 、读一读,写一写十六 十一 十九 十四 十七 二十( ) ( ) ( ) ( ) ( ) ( ) 14 16 11 19 17 20抢答题 :(1)15 是由 ( ) 个十和 ( ) 个一组成。(2)( ) 个十和 ( ) 个一合起来是17 。(3)16 前面一个数是 ( ), 后面一个数是 ( ) 。(4) 与 19 相邻的两个数是 ( ) 和 ( ) 。1 51 715 18 17201 、我是最大的一位数( )。2 、我是最小的两位数( )。3 、我是一个两位数,个位、十位都是“ 1”( )。4 、我是一个两位数,但比 20 小 3 。( )聪明题 :9 10 11 17 十一 十五 十九 二十十六 十位 个位 1 1 十位 个位 十位 个位 1 511 15 19 20 16 十位 个位 19 十位 个位 2 0 十位 个位 161 31 8 1 5 1 2 2 0 1 、从右边起,第一位是 ( ) 位,第二位是 ( ) 位。2 、 1 个十和 2 个一组成( )。 12 里面有( ) 个十和( )个一。3 、 16 里面有( )个十和( )个一。4 、 2 个十是( ), 20 里面有 20 个( )。5 、 18 的 8 在( )位上,表示( )个( ); 1 在( )位上,表示( )个( )。6 、 3 和 10 合起来是( )。7 、 1 个十和 8 个一组成 ( ) 。 5 个一和一个十 组成 ( ) 。个十121216201个81十1十1318158 、 15 和 17 中间的数是 ( ) 。 17 和 19 中间的数是( )。 和 17 相邻的两个数是 ( ) 和 ( ) 。 和 15 相邻...

1、当您付费下载文档后,您只拥有了使用权限,并不意味着购买了版权,文档只能用于自身使用,不得用于其他商业用途(如 [转卖]进行直接盈利或[编辑后售卖]进行间接盈利)。
2、本站所有内容均由合作方或网友上传,本站不对文档的完整性、权威性及其观点立场正确性做任何保证或承诺!文档内容仅供研究参考,付费前请自行鉴别。
3、如文档内容存在违规,或者侵犯商业秘密、侵犯著作权等,请点击“违规举报”。

碎片内容

小学数学人教2011课标版一年级11-20各数的写法--课件

您可能关注的文档

精华资料店+ 关注
实名认证
内容提供者

大量教育教学资料

确认删除?
VIP
微信客服
  • 扫码咨询
会员Q群
  • 会员专属群点击这里加入QQ群
客服邮箱
回到顶部