电脑桌面
添加小米粒文库到电脑桌面
安装后可以在桌面快捷访问

各种方式的快速反应跑VIP免费

各种方式的快速反应跑_第1页
1/3
各种方式的快速反应跑_第2页
2/3
各种方式的快速反应跑_第3页
3/3
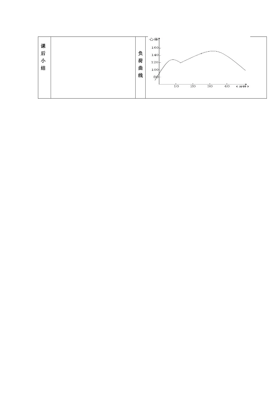
各种方式的快速反应跑水平段:水平二 三年级 执教:渝北区农业园区实验小学 侯琪 教材内容1、各种方式的快速反应跑2、韵律串编韵律绳操 韵律仿生操 韵律形体拉伸重难点重点:各种方式下的快速反应难点:各种方式下的快速启动本课教学目标1、通过对不同感官的刺激及不同身体姿势的变换,提升学生快速反应的能力。2、通过本课的学与练,提高学生身体灵敏性及快速奔跑的能力。3、通过跑与游戏的结合,提升学生对跑的兴趣和喜爱。本课重点领域运动参与∨1、积极主动的参与到学习中。2、发展学生灵敏、协调、快速反应、快速奔跑的能力。3、通过小团队的合作学习与展示,感受到合作学习带来的喜悦。运动技能身体素质∨心理健康社会适应∨顺序教学内容与要求时间次数预计问题与处理方法组织形式、场地布置开始部分课堂常规:1、体育委员集合整队并报告人数。2、师生问好。3、检查着装并安排见习生。2分钟一次预计问题: 学生注意力不集中处理方法:击掌提示、语言激励 准备部分准备活动:热身韵律绳操要求:教师参与、跟随老师练习3分钟一次预计问题:学生动作不到位;情绪不高处理方法:口头提醒学生教师标准示范语言激励。 自由散开基本部分主教材:各种方式的快速反应跑辅教材:韵律串编一、听信号快速反应跑1、童谣“老狼”2、童谣“小青蛙”要求:每个童谣的最后一个字就是快速反应跑的信号。二、辅教材:韵律仿生操模仿童谣中的老狼和小青蛙,跟随老师一起练习动物仿生操。5分钟2分钟一至二次一次预计问题:示范讲解学生着急模仿。解决问题:精讲多练提醒学生踏地要果断迅速。预计问题:韵律仿生操时、学生害羞,放不开。处理方法:教师激励。基本部分三、不同身体姿势的快速反应跑(一)站姿的快速反应跑1、正对快速反应跑2、背对快速反应跑(二)蹲姿的快速反应跑1、抱膝并腿的蹲姿2、“弯弓射雕”的蹲姿(三)坐姿的快速反应跑1、直膝并腿的坐姿2、屈膝并腿的坐姿(四)俯卧姿势的快速反应跑1、模仿游泳的姿势2、模仿罗汉侧卧的姿势(五)延伸与拓展练习1、个人创编的不同姿势后的快速反应跑。2、小团队创编的不同姿势后的快速反应跑。四:韵律:形体拉伸操要求:调整呼吸,跟随老师一起完成练习。20分钟3分钟二至三次一次预计问题:学生快速启动的能力参差不齐。处理方法:区别对待,每种姿势都要强化快速变为起跑准备姿势的练习。结束部分结束部分1、点评与小结3、回收器材,师生再见。2分钟场地器材场地:操场器材:短绳每人一根负荷...

1、当您付费下载文档后,您只拥有了使用权限,并不意味着购买了版权,文档只能用于自身使用,不得用于其他商业用途(如 [转卖]进行直接盈利或[编辑后售卖]进行间接盈利)。
2、本站所有内容均由合作方或网友上传,本站不对文档的完整性、权威性及其观点立场正确性做任何保证或承诺!文档内容仅供研究参考,付费前请自行鉴别。
3、如文档内容存在违规,或者侵犯商业秘密、侵犯著作权等,请点击“违规举报”。

碎片内容

各种方式的快速反应跑

您可能关注的文档

精品文库+ 关注
实名认证
内容提供者

小学学习各类资料大全

确认删除?
VIP
微信客服
  • 扫码咨询
会员Q群
  • 会员专属群点击这里加入QQ群
客服邮箱
回到顶部