电脑桌面
添加小米粒文库到电脑桌面
安装后可以在桌面快捷访问

机械原理课程设计1109551420VIP专享VIP免费

机械原理课程设计1109551420_第1页
1/9
机械原理课程设计1109551420_第2页
2/9
机械原理课程设计1109551420_第3页
3/9
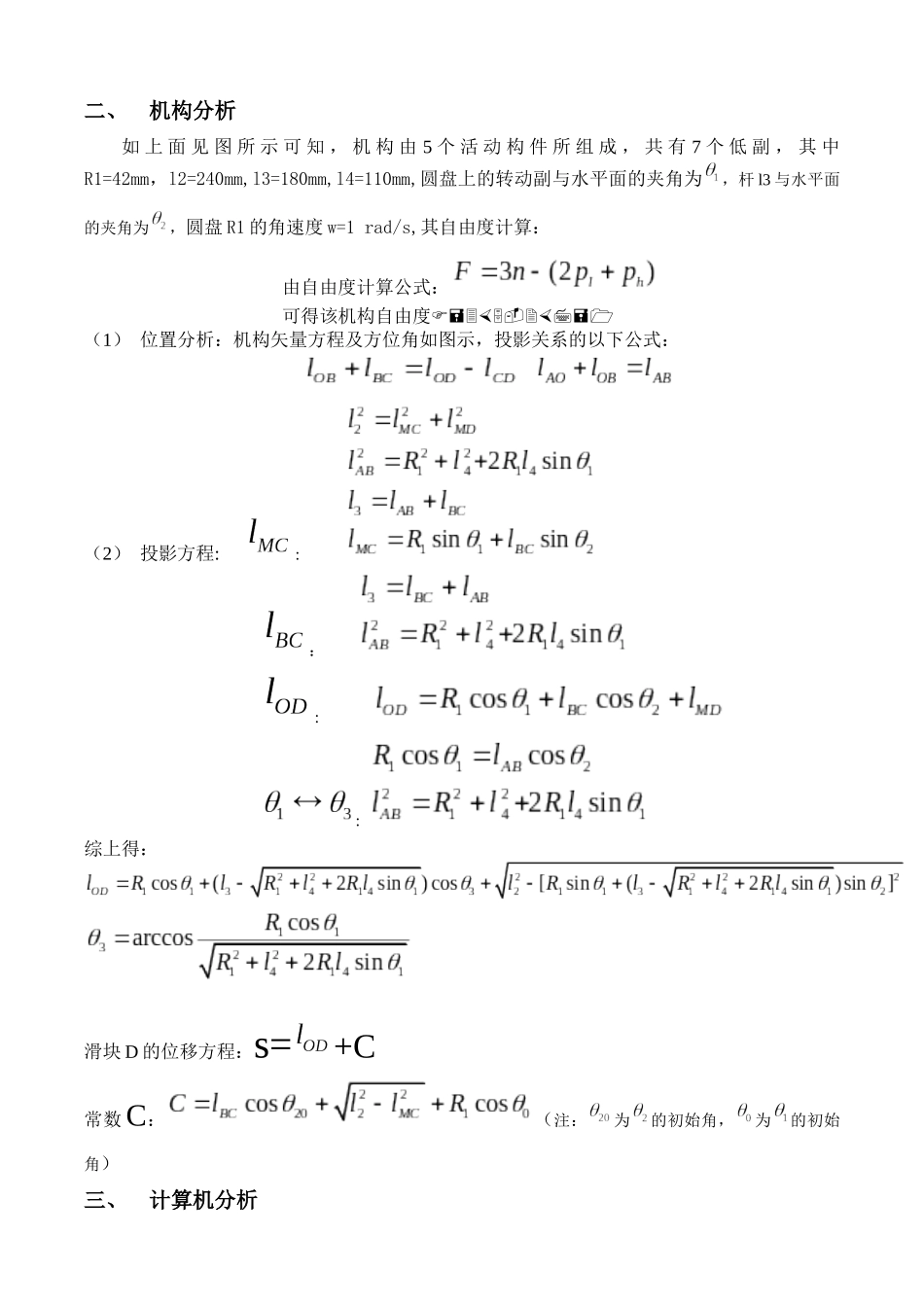
机械原理课程设计说明书学 院:五邑大学机电工程学院专 业:机械工程及其自动化班 级:AP09081 班学生姓名:戴苑城学 号:AP0908106题 目:机械运动参数测试仪分析日 期:2012.1.10机械运动参数测试仪分析戴苑城 AP0908106一、仪器机构简介如下图所示,实验仪器以蜗杆箱为分界,分为前后两部分。前部分主要分为:电机、传感器、传感圆盘;后部分别为:导轨架、导轨框,导杆、滑块、固定架和法兰盘。电机是整个机构的动力源,透过蜗杆箱以蜗杆为原动件作减速运动。动力由蜗轮主轴输出,传给法兰盘和传感圆盘,由传感器接收传动圆盘的转动信号,通过输出设备输出信号。后部部分机构简化后如图所示,主要有法兰盘滑块,导杆,导轨架和导轨框所构成。由蜗轮主轴所输出的动力带动法兰盘转动,从而使后部机构运动。由后部机构所得的运动简图如图所示:由简图可以清晰看到,所要研究的连杆有:、、和滑块组成。圆盘为动原件,移动副钉紧在圆盘上,杆 l3 在移动副上滑动,通过杆传递,最终带动滑块在水平面上滑动。二、机构分析如 上 面 见 图 所 示 可 知 , 机 构 由  个 活 动 构 件 所 组 成 , 共 有  个 低 副 , 其 中R1=42mm,l2=240mm,l3=180mm,l4=110mm,圆盘上的转动副与水平面的夹角为,杆 l3 与水平面的夹角为,圆盘 R1 的角速度 w=1 rad/s,其自由度计算:由自由度计算公式:可得该机构自由度(1) 位置分析:机构矢量方程及方位角如图示,投影关系的以下公式: (2) 投影方程: : : : : 综上得:滑块 D 的位移方程:s=+C常数C:(注:为的初始角,为的初始角)三、计算机分析本环节是以上面提及到的测试仪中的曲柄滑块机构和曲柄摆动导杆机构为测试对象,通过实验了解位移、速度、加速度、角速度、角位移、角加速度的计算机测定方法,测算其机械结构的各参数的理论值。1. NX-UG 软件对其机构建模并运动仿真其模型的运动仿真动画截图如图所示:研究滑块的位移-时间,速度-时间,加速度-时间的运动规律,用 UG 图表功能导出 s-t,v-t,a-t 的曲线图如下:由位移图可知,s-t 曲线的波峰为 400,波谷为 260,说明滑块相对于位移坐标的零点最近值为 260mm,最远值为 400mm,与理论值相符,说明该 UG 仿真模型成立。2. MATLAB 软件对机构运动线图分析在 matlab 程序中,q0 为夹角的初始角=30°,圆盘半径 R1=42,连...

1、当您付费下载文档后,您只拥有了使用权限,并不意味着购买了版权,文档只能用于自身使用,不得用于其他商业用途(如 [转卖]进行直接盈利或[编辑后售卖]进行间接盈利)。
2、本站所有内容均由合作方或网友上传,本站不对文档的完整性、权威性及其观点立场正确性做任何保证或承诺!文档内容仅供研究参考,付费前请自行鉴别。
3、如文档内容存在违规,或者侵犯商业秘密、侵犯著作权等,请点击“违规举报”。

碎片内容

机械原理课程设计1109551420

确认删除?
VIP
微信客服
  • 扫码咨询
会员Q群
  • 会员专属群点击这里加入QQ群
客服邮箱
回到顶部