电脑桌面
添加小米粒文库到电脑桌面
安装后可以在桌面快捷访问

圆锥曲线求轨迹方程汇总VIP免费

圆锥曲线求轨迹方程汇总_第1页
1/7
圆锥曲线求轨迹方程汇总_第2页
2/7
圆锥曲线求轨迹方程汇总_第3页
3/7
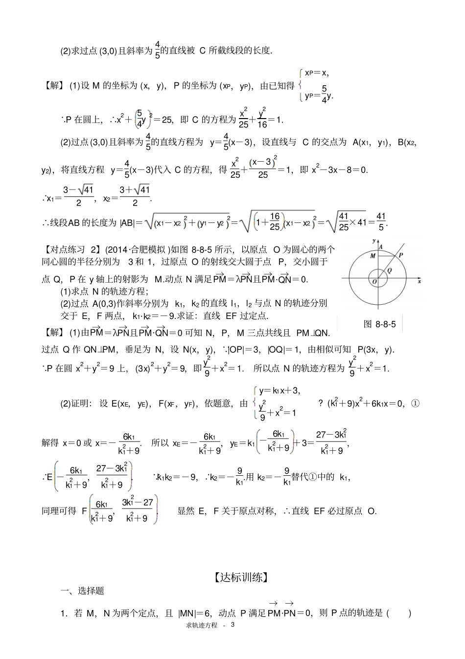
求轨迹方程 -1 专题圆锥曲线(求轨迹方程)求轨迹方程的常用方法(1)直接法:直接利用条件建立x,y 之间的关系或 F(x,y)=0;(2)定义法:先根据条件得出动点的轨迹是某种已知曲线,再由曲线的定义直接写出动点的轨迹方程;(3)代入转移法(相关点法) :动点 P(x,y)依赖于另一动点Q(x0,y0)的变化而变化,并且Q(x0,y0)又在某已知曲线上,则可先用x,y 的代数式表示 x0,y0,再将 x0,y0代入已知曲线得要求的轨迹方程.1.一个区别 —— “轨迹方程 ”与“轨迹 ”“求动点的轨迹方程 ”和“求动点的轨迹 ”是不同的. 前者只须求出轨迹的方程, 标出变量 x,y 的范围;后者除求出方程外,还应指出方程的曲线的图形,并说明图形的形状、位置、大小等有关的数据.2.双向检验 —— 求轨迹方程的注意点求轨迹方程,要注意曲线上的点与方程的解是一一对应关系,检验应从两个方面进行:一是方程的化简是否是同解变形;二是是否符合实际意义, 注意轨迹上特殊点对轨迹的“完备性与纯粹性 ”的影响.考向一 直接法求轨迹方程【例 1】已知动点 P(x,y)与两定点 M(-1,0),N(1,0)连线的斜率之积等于常数λ(λ≠0).(1)求动点 P 的轨迹 C 的方程;(2)试根据 λ 的取值情况讨论轨迹C 的形状.【解】 (1)由题意可知,直线 PM 与 PN 的斜率均存在且均不为零, 所以 kPM·kPN=yx+1· yx-1=λ,整理得 x2-y2λ=1(λ≠0,x≠±1).即动点 P 的轨迹 C 的方程为 x2-y2λ=1(λ≠0,x≠±1).(2)①当 λ>0 时,轨迹 C 为中心在原点,焦点在x 轴上的双曲线 (除去顶点 );②当- 1<λ<0 时,轨迹 C 为中心在原点,焦点在x 轴上的椭圆 (除去长轴的两个端点 );③当 λ=-1 时,轨迹 C 为以原点为圆心, 1 为半径的圆除去点 (-1,0),(1,0).④当 λ<-1 时,轨迹 C 为中心在原点,焦点在y 轴上的椭圆 (除去短轴的两个端点 ).【对点练习 1】已知 A,B 为平面内两定点,过该平面内动点M 作直线 AB 的垂线,垂足为 N.若MN→2=λAN→·NB→,其中 λ 为常数,则动点 M 的轨迹不可能是 () A.圆B.椭圆C.抛物线D.双曲线【解析】以 AB 所在直线为 x 轴,AB 的中垂线为 y 轴,建立坐标系, 设 M(x,y),A(-a,0),B(a,0),则 N(x,0).因为 MN→ 2=λAN→·NB→,所以 y2=λ(x+a)(a-x),即 λ x2+y2=λ a2,当 λ=1 时,是圆的轨迹方程;求...

1、当您付费下载文档后,您只拥有了使用权限,并不意味着购买了版权,文档只能用于自身使用,不得用于其他商业用途(如 [转卖]进行直接盈利或[编辑后售卖]进行间接盈利)。
2、本站所有内容均由合作方或网友上传,本站不对文档的完整性、权威性及其观点立场正确性做任何保证或承诺!文档内容仅供研究参考,付费前请自行鉴别。
3、如文档内容存在违规,或者侵犯商业秘密、侵犯著作权等,请点击“违规举报”。

碎片内容

圆锥曲线求轨迹方程汇总

确认删除?
VIP
微信客服
  • 扫码咨询
会员Q群
  • 会员专属群点击这里加入QQ群
客服邮箱
回到顶部